Предмет: Алгебра,
автор: znanija22228
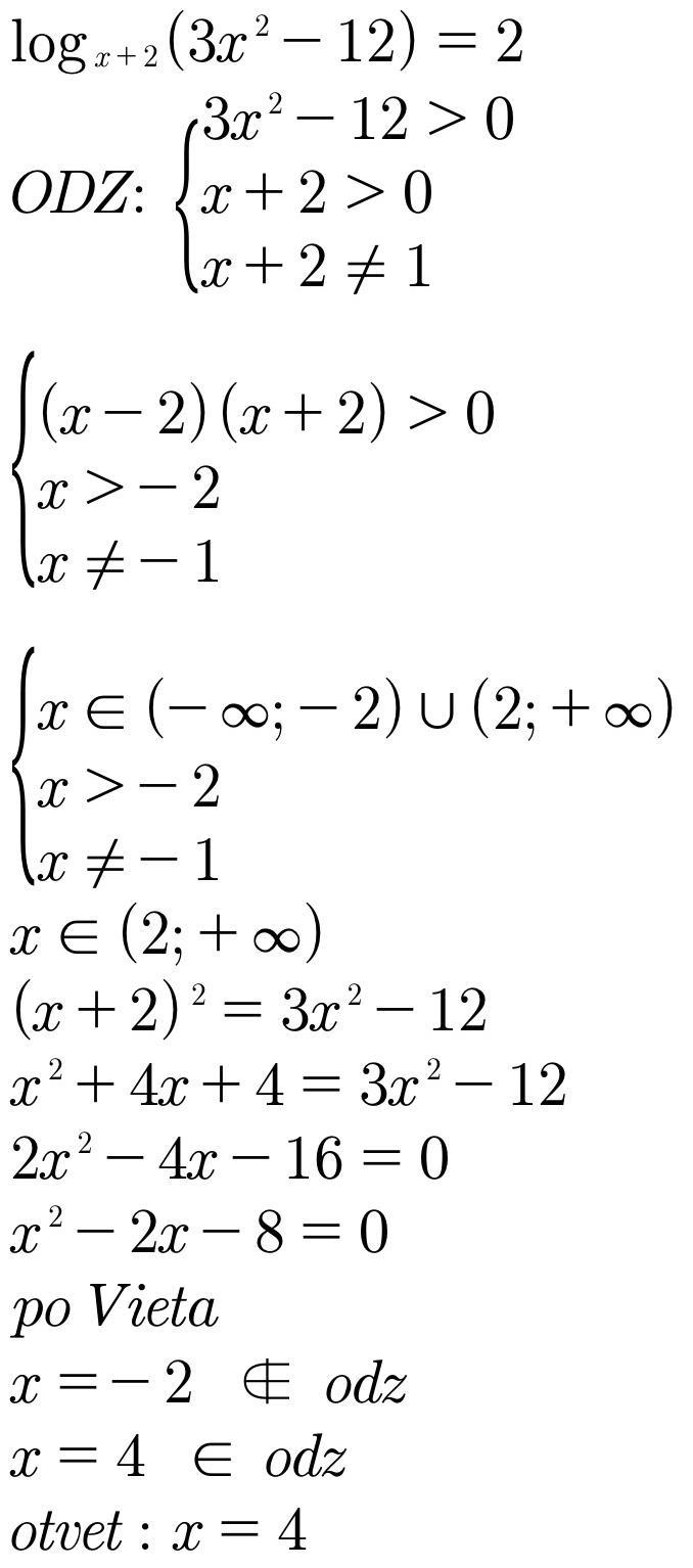
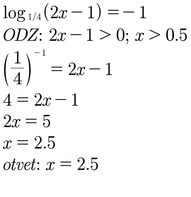
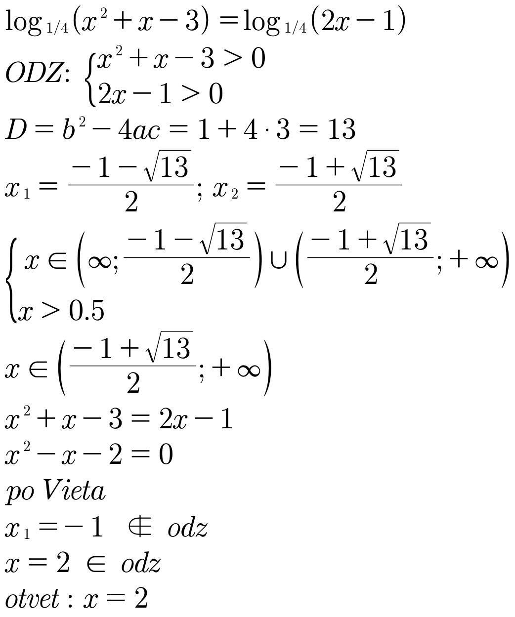
Логарифм ,50 баллов ,решить пошагово, обязательно с ОДЗ
Приложения:
Ответы
Автор ответа:
1
Ответ:
Объяснение:
..........................
Приложения:
Похожие вопросы
Предмет: Русский язык,
автор: ali220192
Предмет: Русский язык,
автор: ali220192
Предмет: Физика,
автор: riversong98
Предмет: Математика,
автор: harutunyan1978
Предмет: Математика,
автор: Amir1234567891