Предмет: Математика, автор: Аноним

Пожалуйста помогите срочно маием 5кл

Приложения:

Аноним: Также по действиям нужна решать
Аноним: Очень срочно пожалуйста

Ответы

Автор ответа: deadtournesol
0

Ответ:

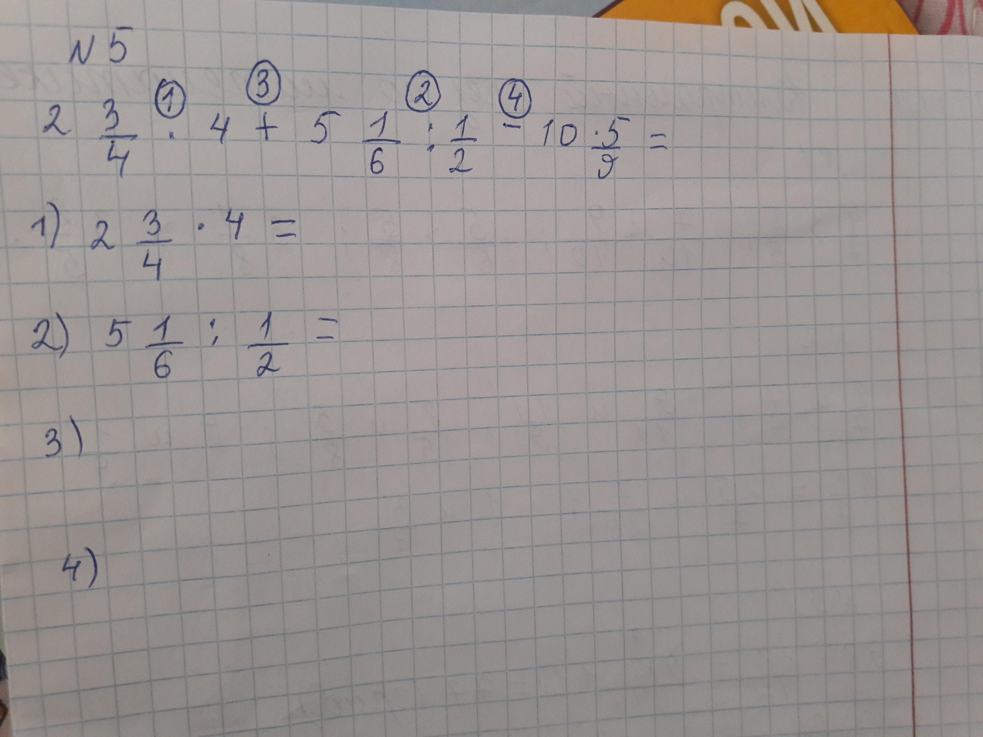
2 \frac{3}{4}  \times 4 + 5 \frac{1}{6}  \div  \frac{1}{2}  - 10 \frac{5}{9}  = 10 \frac{7}{9}

2 \frac{3}{4}  \times 4 =  \frac{11}{4}   \times 4 =  \frac{11}{1}  = 11

5 \frac{1}{6}  \div  \frac{1}{2}  =  \frac{31}{6}  \times  \frac{2}{1} =  \frac{31}{3}   = 10 \frac{1}{3}

11 + 10 \frac{1}{3}  = 21 \frac{1}{3}

21 \frac{1}{3}  - 10 \frac{5}{9}  =  \frac{64}{3}  -  \frac{95}{9}  =  \frac{192 - 95}{9}  =  \frac{97}{9}  = 10 \frac{7}{9}

192 мы получили, приведя знаменатель 3 к 9, тем самым умножив обе части дроби на 3

 \frac{64}{3}  =  \frac{192}{9}


Аноним: Спасибо за очень поздный ответ
deadtournesol: ну, только в ленте высветилось
Похожие вопросы