Предмет: Алгебра,
автор: Аноним
.................................
Приложения:
Ответы
Автор ответа:
1
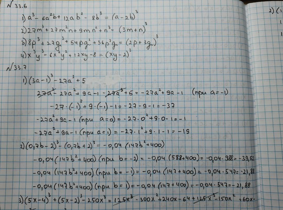
Ответ:
Объяснение:
Если что-то плохо видно, скажи, я напишу
Приложения:
cicilindr:
фотографии загрузились не в той последовательности... нужно 2 3 1
стой
я прикрепила фото, на котором я исправила ошибку
Похожие вопросы
Предмет: Английский язык,
автор: kolecnikov02
Предмет: Алгебра,
автор: Ктосломалмойпробел
Предмет: Математика,
автор: mdovgay
Предмет: Химия,
автор: Вероника14121
Предмет: Литература,
автор: nastyanashka62p3fpor