Предмет: Алгебра,
автор: anyav2107
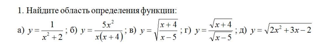
Найдите область определения функции
Приложения:
Ответы
Автор ответа:
2
Ответ:
Объяснение:
На фото
Приложения:
Похожие вопросы
Предмет: Биология,
автор: Аноним
Предмет: Алгебра,
автор: khadelashvilis
Предмет: Русский язык,
автор: tirvin
Предмет: Физика,
автор: ania161203p3fi03
Предмет: Математика,
автор: semenovaarina1