Предмет: Алгебра,
автор: Аноним
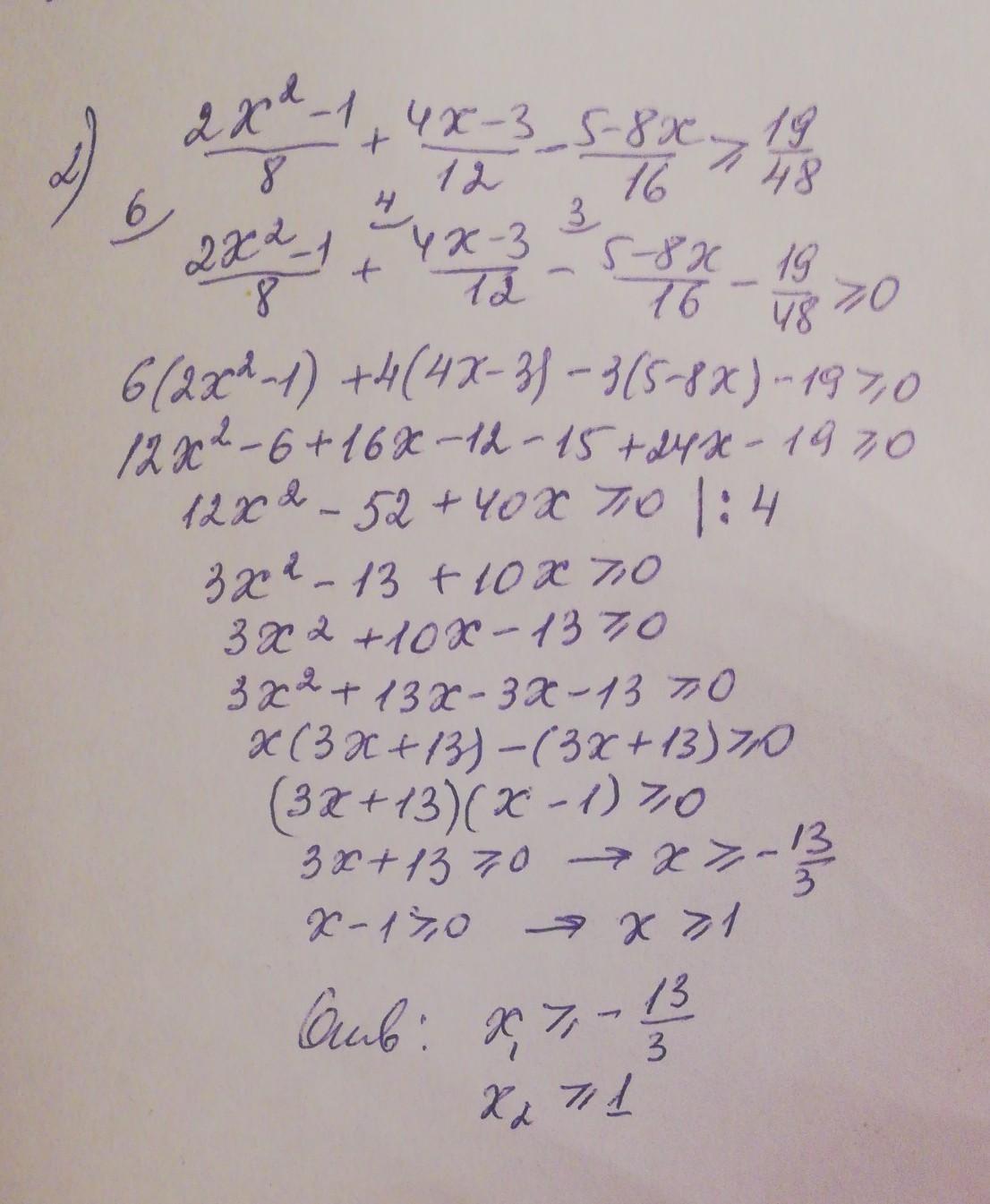
Пожалуйста, решите. Условия указаны на фото. До 24.01.21. до 20:00
Приложения:
Ответы
Автор ответа:
0
Ответ:
Смотри решение на фото
Приложения:
Похожие вопросы
Предмет: Обществознание,
автор: Hachikuji
Предмет: Физика,
автор: vivasiuk
Предмет: Геометрия,
автор: ksuguest
Предмет: Обществознание,
автор: ysavelkova