Предмет: Математика,
автор: sevcator
Пожалуйста помогите 6 класс:
Приложения:
Ответы
Автор ответа:
0
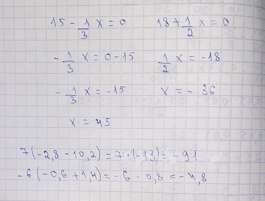
вот ответ думаю правильно
Приложения:
Автор ответа:
0
Пошаговое объяснение:
1) -1/3x = -15
x = -15 / -1/3
x = 45
2) 1/2x = -18
x = -18 / 1/2
x = -36
3) 7*(-2,8 + -10,2) = 7 * -13 = -91
4) -6*(0,6 + 1,4) = -6 * 2 = -12
Похожие вопросы
Предмет: Математика,
автор: 9293709B131
Предмет: Математика,
автор: krip300
Предмет: Алгебра,
автор: polayo
Предмет: Математика,
автор: princessdiana8
Предмет: Литература,
автор: nastyushkkaa