Предмет: Математика,
автор: marxim111112018
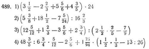
пж помогите решить
10б
10б
10б
10б
Приложения:
Ответы
Автор ответа:
1
Ответ:
1) 57
2) 38
3) 187
4) 287
Пошаговое объяснение:
marxim111112018:
спс
Похожие вопросы
Предмет: Химия,
автор: nik1207
Предмет: Русский язык,
автор: ldv200463
Предмет: Английский язык,
автор: Nastua2001Beles
Предмет: Математика,
автор: Слакая