Предмет: Математика,
автор: InWhiteSeer
СРОЧНО ПОМОГИТЕ МОЛЮ БОГА
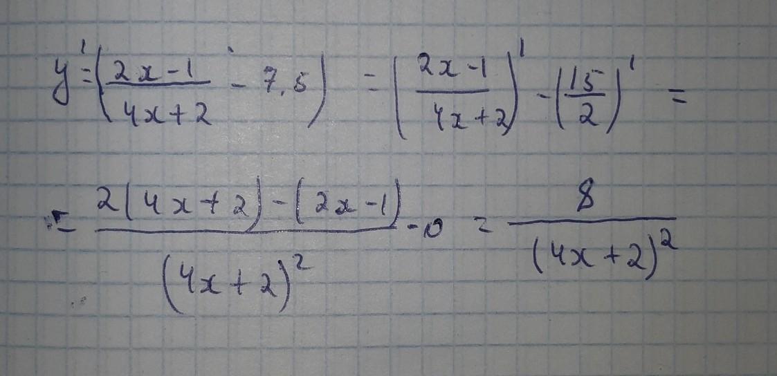
Найдите производную функции y = (2x - 1)/ (4x+2)-7, 5
Ответы
Автор ответа:
1
Ответ:
решение на фотографии
Приложения:
LFP:
производная знаменателя потерялась... 4
Похожие вопросы
Предмет: Русский язык,
автор: Анютик1111
Предмет: Українська література,
автор: katrinka2001
Предмет: История,
автор: lenka20121974
Предмет: Алгебра,
автор: fxwein
Предмет: Алгебра,
автор: Hfidj29473829