Предмет: Алгебра,
автор: opkgcenjnzyo
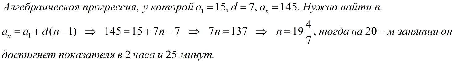
Тренер посоветовал Андрею в первый день занятий провести на беговой дорожке 15 минут, а на каждом следующем занятии увеличивать время, проведённое на беговой дорожке, на 7 минут. За сколько занятий Андрей проведёт на беговой дорожке в общей сложности 2 часа 25 минут, если будет следовать советам тренера?
Ответы
Автор ответа:
1
Ответ:
20
Объяснение:
На фото решено
Приложения:
Автор ответа:
0
Ответ:20 там
Объяснение:
Похожие вопросы
Предмет: Русский язык,
автор: BonnieAnimatronik
Предмет: Английский язык,
автор: ElvinaGaraeva
Предмет: Математика,
автор: olesyashararaf
Предмет: Алгебра,
автор: zebraa200p
Предмет: Математика,
автор: vladzenit47