Предмет: Алгебра,
автор: Kocacola
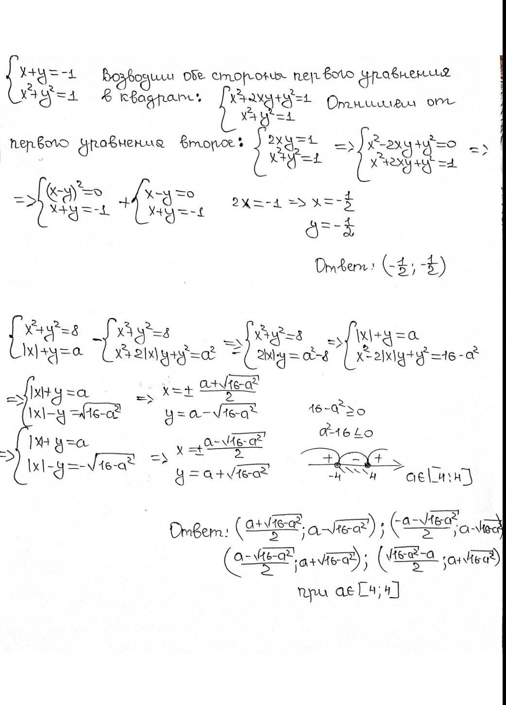
x^2 +y^2=8
|x|+y=a
решить систему
Ответы
Автор ответа:
1
_____________________________________
Приложения:
Похожие вопросы
Предмет: Русский язык,
автор: oxanguseva
Предмет: Русский язык,
автор: zhansaya34260
Предмет: Русский язык,
автор: romancov
Предмет: Алгебра,
автор: Olzarez52