Предмет: Математика,
автор: Please103
срочно пожалуйста помогите мне
Приложения:
Ответы
Автор ответа:
0
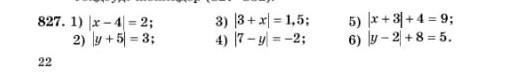
Х= 4+2
Х=6
(6-4)=2
2)там ошибка скажи учителю
2) x=5+3
Х=8
(8-5)=3
Х=6
(6-4)=2
2)там ошибка скажи учителю
2) x=5+3
Х=8
(8-5)=3
Похожие вопросы
Предмет: Физика,
автор: praslov
Предмет: Алгебра,
автор: zluka2016
Предмет: Биология,
автор: Исмаил2005
Предмет: Математика,
автор: Аноним
Предмет: Литература,
автор: zaira38