Предмет: Геометрия,
автор: bombombom1
с подробным решение решите задачку пожалуйста !соовсем не понимаю геометрию!
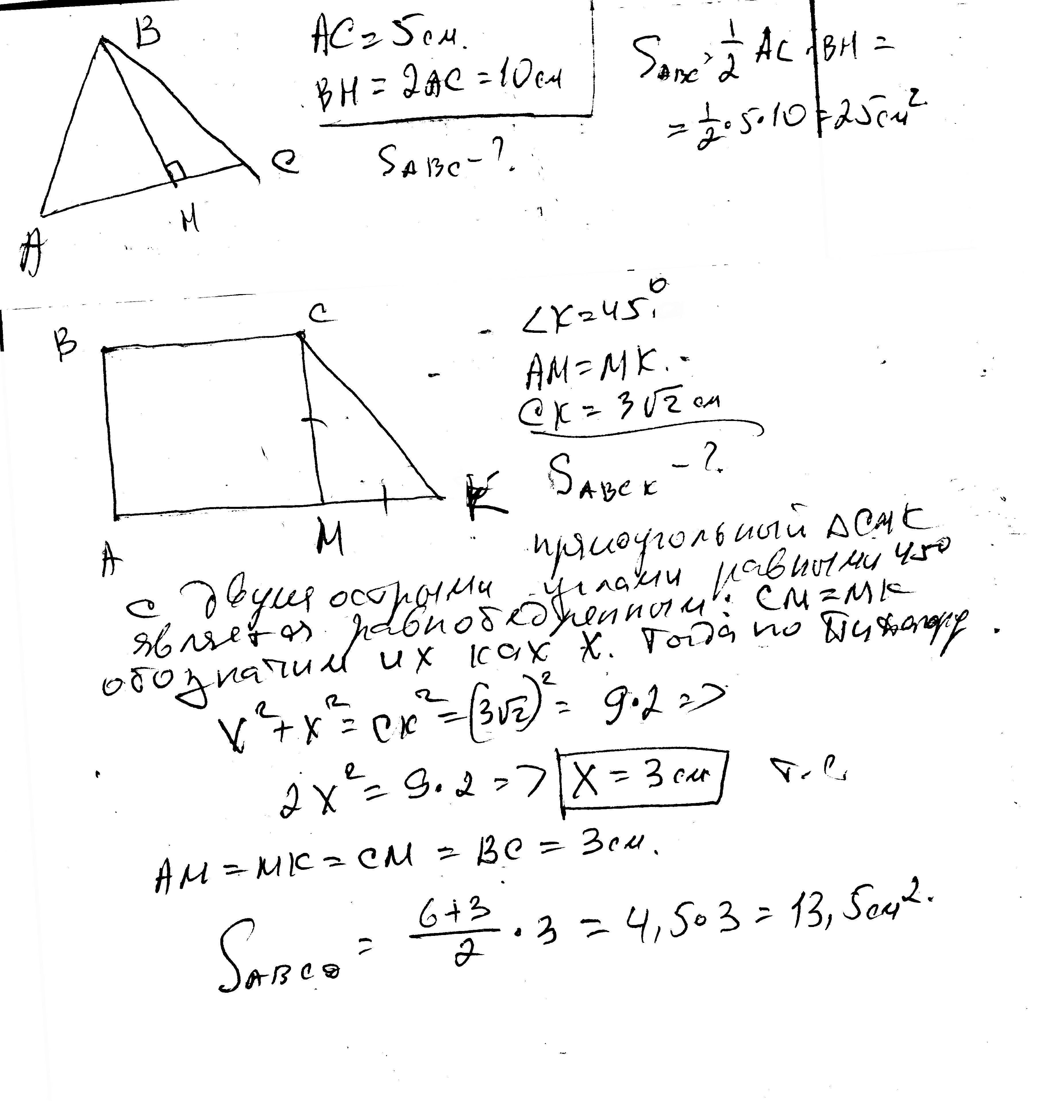
1) сторона треугольника равна 5 см, а высота, проведенная к ней в 2 раза больше стороны. Найдите площадь треугольника
2) катеты прямоугольного треугольника равны 6 и 8 см. Найдите гипотенузу и площадь треугольника.
3) найдите площадь и периметр ромба, если его диагонали равны 8 и 10 см.
4) в прямоугольной трапеции ABCK большая боковая сторона равна 3корень2 см, угол K равен 45 градусов, а высота CH делит основание АК пополам. Найдите площадь трапеции.
Ответы
Автор ответа:
0
решение в скане................
Приложения:
Похожие вопросы
Предмет: Математика,
автор: yuyermakova
Предмет: Физика,
автор: masakrupenko96
Предмет: Математика,
автор: VikioKoko
Предмет: Математика,
автор: Федюкина
Предмет: Математика,
автор: julianna1983