Предмет: Математика,
автор: Sumpax
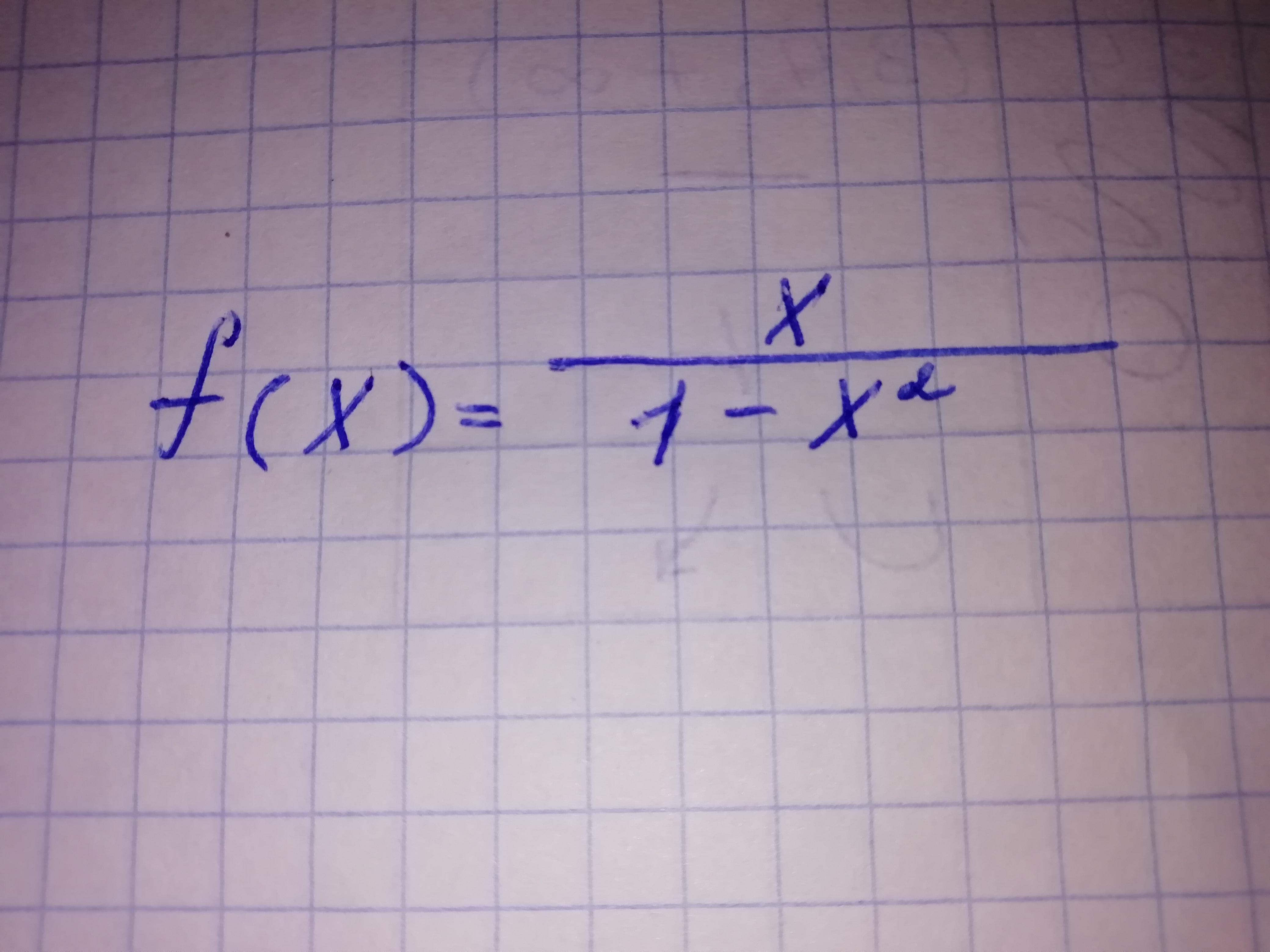
Исследовать функцию ( найти асимптоты) и построить график 100 баллов
Приложения:
Ответы
Автор ответа:
1
-----------------------------------
Приложения:
Похожие вопросы
Предмет: Биология,
автор: Машулька045
Предмет: Алгебра,
автор: turchinec
Предмет: Математика,
автор: злата6
Предмет: Физика,
автор: полина13141516171819
Предмет: Литература,
автор: назо3