Предмет: Математика,
автор: lerapanteleeva2006
Помогите пожалуйста с решением!
Приложения:
Ответы
Автор ответа:
1
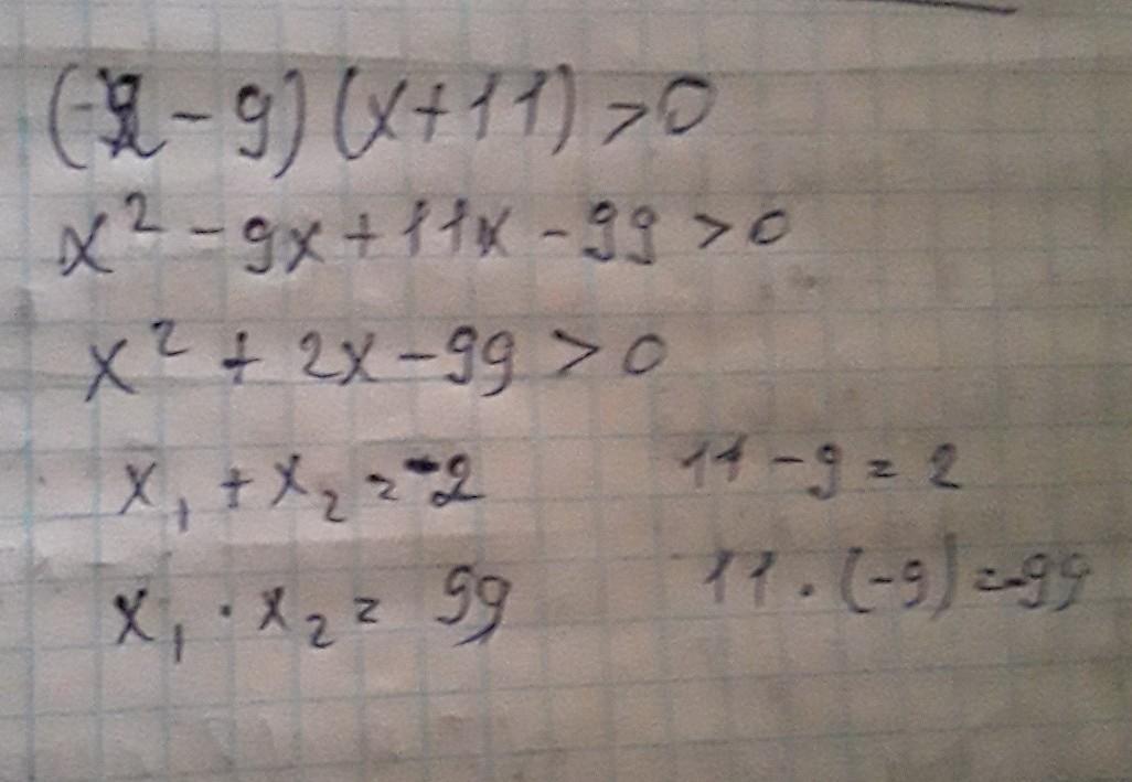
Ответ:
только первое решил
остальное не смог
Приложения:
Похожие вопросы
Предмет: Биология,
автор: АнаСтыэ
Предмет: Математика,
автор: aetov04
Предмет: Обществознание,
автор: line3
Предмет: Алгебра,
автор: MariaKim48
Предмет: Алгебра,
автор: MariaKim48