Предмет: Математика,
автор: Rex360228
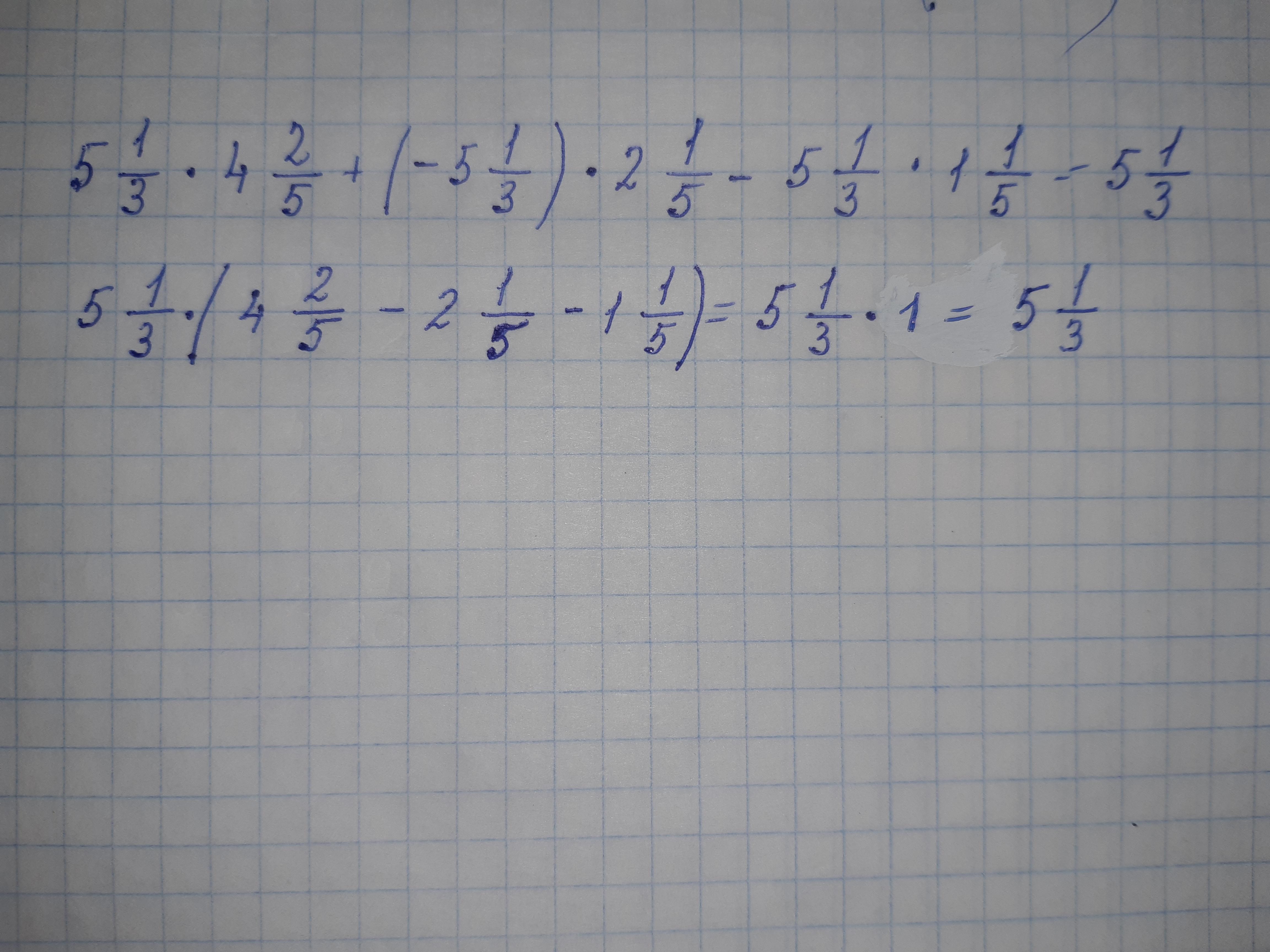
5 1/3*4 2/5+(-5 1/3)*2 1/5-5 1/3*1 1/5=
Ответы
Автор ответа:
4
Ответ:
5 целых 1/3
Пошаговое объяснение:
Приложения:
stepananmarianna38:
извините, почему у вас фотография не работает
У меня открывается.
теперь всё хорошо, наконец открылась
Это радует :)
:)
Похожие вопросы
Предмет: Математика,
автор: osurovceva1983
Предмет: Русский язык,
автор: taros55
Предмет: Русский язык,
автор: fmixeev
Предмет: Физика,
автор: ghostviktoriya
Предмет: Алгебра,
автор: igorekiss