Предмет: Алгебра, автор: asansoev44

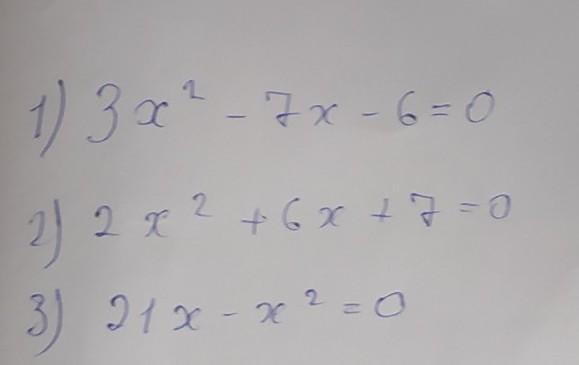
Формула корней квадратного уравнения . Решите плиз ​

Приложения:

Ответы

Автор ответа: kolodijcukkata681
1

Ответ:

думаю будет правильно, ставь лайк

Приложения:

asansoev44: Спасибо, брат
asansoev44: сможешь мне еще кое что решить пожалуйста?
Автор ответа: nkorzh353
1

Вот ответ)

...............................

Приложения:
Похожие вопросы
Предмет: Алгебра, автор: Аноним
Предмет: Обществознание, автор: dwelnerd6722
Прочитайте предложенный ниже текст, в котором пропущен ряд слов. Выберите из предложенного списка слово, которое необходимо вставить на позицию Закреплённое в Конституции Российской Федерации положение о её высшей юридической силе и (А) _________означает, что все конституционные нормы имеют верховенство над законами и (Б) _______________, в силу чего (В)______ при разбирательстве конкретных дел должны руководствоваться Конституцией РФ.

В соответствии с Конституцией Российской Федерации Россия есть демократическое (Г) ____________правовое государство с (Д) _____________ правления. Носителем суверенитета и единственным источником власти в Российской Федерации является её (Е) ____________. Высшим непосредственным выражением власти народа является (Ж)____________ и свободные выборы.

(З)________________ является главой государства, гарантом Конституции РФ, прав и свобод человека и гражданина; избирается сроком на шесть лет гражданами Российской Федерации на основе всеобщего равного и прямого избирательного права при (И) ___________ голосовании.

1) федеративное

2) Президент Российской Федерации

3) правовые обычаи

4) суды

5) участие в партии

6) тайный

7) унитарное

8) подзаконный акт

9) авторитарная форма

10) Председатель Правительства Российской Федерации

11) референдум

12) открытый

13) республиканская форма

14) органы внутренних дел

15) прямое действие

16) парламент

17) многонациональный народ

18) Правительство Российской Федерации