Предмет: Математика,
автор: Аноним
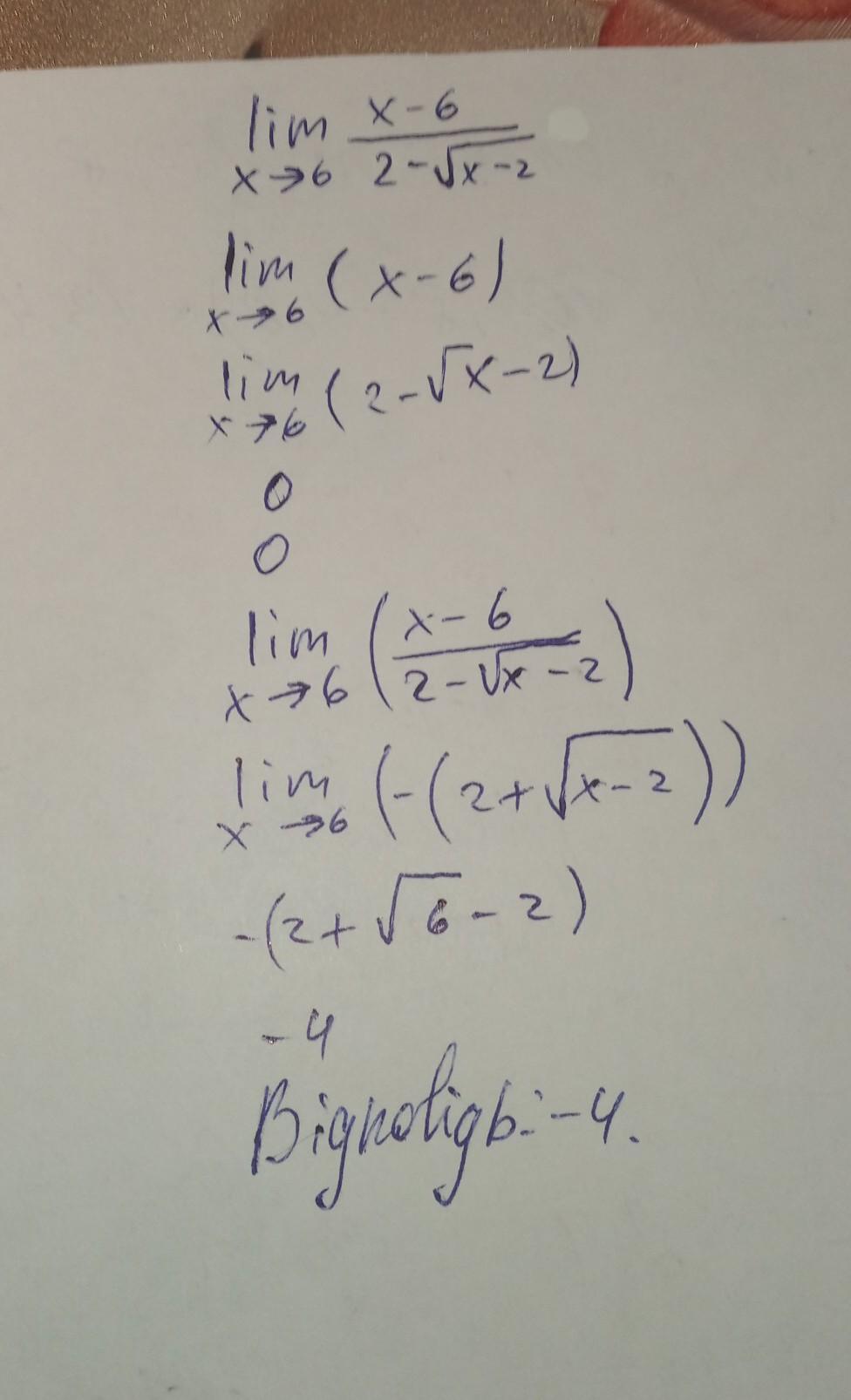
Помоги! Даю 100 баллов✨
Приложения:
Ответы
Автор ответа:
2
Вот, надеюсь с почерком разберёшься
Приложения:
Похожие вопросы
Предмет: Русский язык,
автор: K31082002
Предмет: Геометрия,
автор: kalinababy
Предмет: Математика,
автор: 301002222
Предмет: Математика,
автор: Марк1011
Предмет: Математика,
автор: Sanya4189