Предмет: Математика,
автор: kbadkhandats
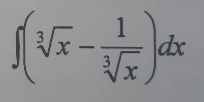
3. Найти интеграл
помогите пожалуйста и можно быстренько как то
Приложения:
Ответы
Автор ответа:
0
Ответ:
..............................
Приложения:
cotting:
ты не то сделал надо найти интеграл а ты его вычислил
и ещё решать надо самому
Это не мой класс, по задаче видно что выше. Чисто хотел лишь помочь.
Хорошо
Похожие вопросы
Предмет: Русский язык,
автор: марсий
Предмет: Русский язык,
автор: asyaray02
Предмет: История,
автор: gelя
Предмет: Математика,
автор: Ribnitsia
Предмет: Биология,
автор: Dasha19791969