Предмет: Алгебра, автор: cychvj

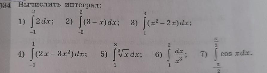
Решите интегралы очень подробно 7 штук пожалуйста решение фотографиеем отправляем​

Приложения:

Ответы

Автор ответа: Miroslava227
1

Ответ:

1.

\int\limits ^{2 } _ {  - 1}2dx = 2x| ^{ 2} _ { - 1} = 2(2 - ( - 1)) = 2 \times 3 = 6 \\

2.

\int\limits ^{ 2} _ { - 2 }(3 - x)dx = (3x -  \frac{ {x}^{2} }{2}) | ^{ 2} _ { - 2} =  \\  = 6 -  \frac{ {2}^{2} }{2}  - ( - 6 -  \frac{ {2}^{2} }{2} ) =  \\  = 6 - 2 + 6 + 2 = 12

3.

\int\limits ^{3 } _ { 1}( {x}^{2} - 2x)dx = ( \frac{ {x}^{3} }{3}  -  \frac{2 {x}^{2} }{2})  | ^{3 } _ {1} =  \\  = ( \frac{ {x}^{3} }{3}  -  {x}^{2} ) | ^{3 } _ {1} =  \\  =  \frac{ {3}^{3} }{3}  -  {3}^{2}  - ( \frac{1}{3}  - 1) =  \\  = 9 - 9 -  \frac{1}{3}  + 1 =  \frac{2}{3}

4.

\int\limits ^{1 } _ {  - 1}(2x - 3 {x}^{2} ) = ( \frac{2 {x}^{2} }{2} -  \frac{3 {x}^{3} }{3} ) | ^{ 1} _ { - 1} =  \\  =( {x}^{2}  -  {x}^{3} ) | ^{ 1} _ { - 1} =  \\  = 1 - 1 - (1 + 1) =  - 2

5.

\int\limits ^{ 8} _ { 1} \sqrt[3]{x} dx =\int\limits ^{8 } _ { 1} {x}^{ \frac{1}{3} }dx =  \frac{ {x}^{ \frac{4}{3} } }{ \frac{4}{3} }  | ^{8 } _ {1} =  \\  = \frac{3}{4}x \sqrt[3]{x}   | ^{8 } _ {1} =  \\  =  \frac{3}{4} (8 \times  \sqrt[3]{8}  - 1) =  \frac{3}{4}  (16 - 1) =  \\  =  \frac{3}{4}  \times 15 =  \frac{45}{4}

6.

\int\limits ^{2 } _ { 1} \frac{dx}{ {x}^{3} }  = \int\limits ^{ 2} _ {1 } {x}^{ - 3}dx =  \frac{ {x}^{ - 2} }{ - 2}  | ^{2 } _ {1} =  \\  =  -  \frac{1}{2 {x}^{2} } | ^{ 2} _ {1} =  -  \frac{1}{2} ( \frac{1}{ {2}^{2} }  - 1) =  \\  =  -  \frac{1}{2}  \times ( \frac{1}{4}  - 1) =  \\  =  -  \frac{1}{2}  \times ( -  \frac{3}{4} ) =  \frac{3}{8}

7.

\int\limits ^{ \frac{\pi}{2}  } _ { -  \frac{\pi}{2}  } \cos(x)dx =  \sin(x)  | ^{ \frac{\pi}{2}  } _ { -  \frac{\pi}{2} } =  \\  =  \sin( \frac{\pi}{2} )  -  \sin(  - \frac{\pi}{2} )  =  \\  = 1 - ( - 1) = 2

Похожие вопросы
Предмет: Информатика, автор: sunnnnn