Предмет: Математика,
автор: olivnachkebiya
Помогите пожалуйста срочно
Приложения:
milalashkov:
можешь помочь с примерами ? пожалуйста
Что за примеры ?
разложить многочлен на множители:4) 25 а² + 70ав + 49 в²
5) а²- в² - 5а + 5в
6) (х+2)² - 9
5) а²- в² - 5а + 5в
6) (х+2)² - 9
Ща решу
спасибо
:)
4)(5а+7в)в квадрате
5)(а-в)*(а+в-5)
6)(х-1)*(х+5)
5)(а-в)*(а+в-5)
6)(х-1)*(х+5)
спасибо :)
ты единственная кто мне помог)
Всегда пожалуйста
Ответы
Автор ответа:
1
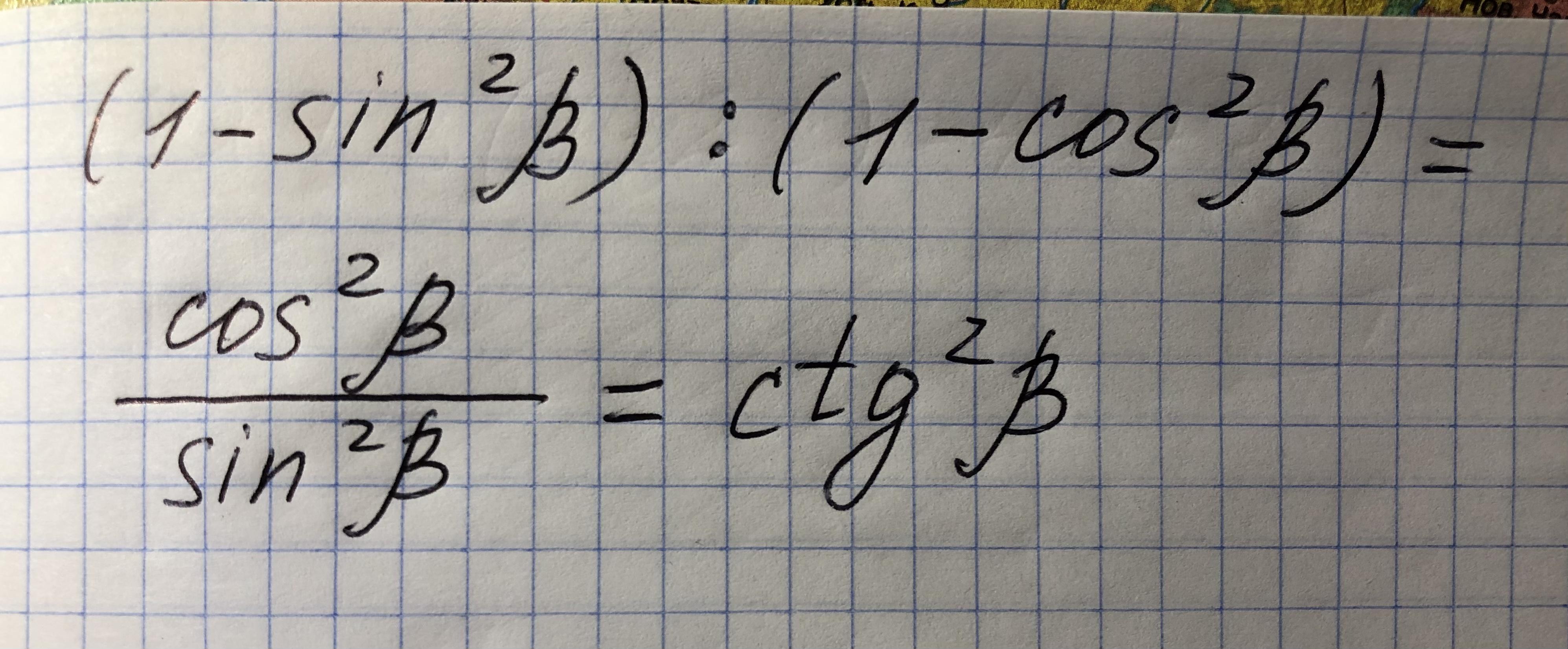
Ответ:
Пошаговое объяснение:
Приложения:
Похожие вопросы
Предмет: Математика,
автор: alisablond2003
Предмет: Английский язык,
автор: mv200330
Предмет: Русский язык,
автор: daryalingvo12
Предмет: Математика,
автор: layusa
Предмет: Право,
автор: Aнна11111