Предмет: Алгебра,
автор: fedinanada20
1) 12х²-х = 0
2) 8х²+6х =0
Ответы
Автор ответа:
1
Ответ:
Объяснение:
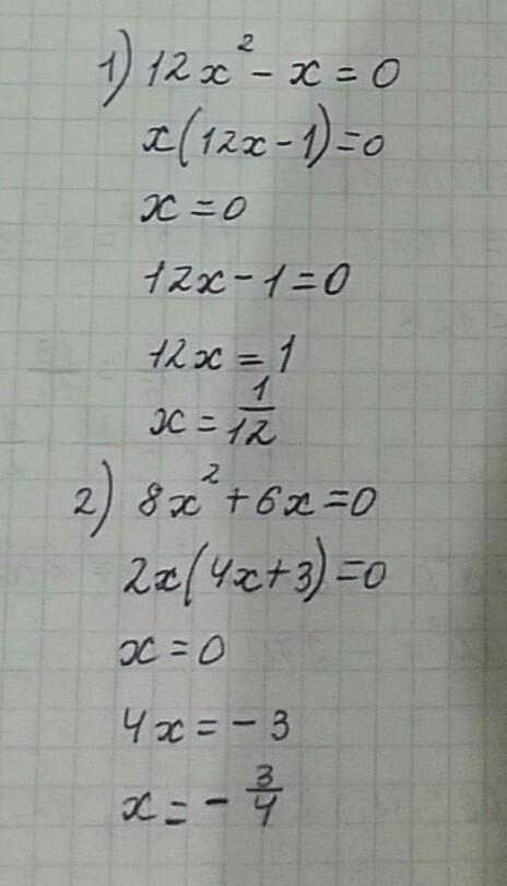
12х²-х = 0
x(12x-1)=0
x=0
12x-1=0
12x=1
x=1/12
8х²+6х =0
2x(4x+3)=0
x=0
4x= -3
x= -3/4
Автор ответа:
1
||||||||||||||||||||||||||||||
Приложения:
Похожие вопросы
Предмет: Математика,
автор: hellobich
Предмет: Другие предметы,
автор: Anyutka666
Предмет: Русский язык,
автор: stasian123
Предмет: Математика,
автор: Танечкапривет