Предмет: Математика,
автор: bs809143
помогите
пожалуйста с математикой не получается сделать
Приложения:
Ответы
Автор ответа:
0
Ответ:
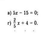
в) х = 3
г) х = -10
Пошаговое объяснение:
в) 5х - 15 = 0
5х = 15
х = 15/5
х = 3
5*3 - 15 = 0 → 15 - 15 = 0
г) 2/5х + 4 = 0
2/5х = -4
х = -4 : 2/5
х = -4 * 5/2
х = -10
2/5 * (-10) + 4 = 0 → -4 + 4 = 0
Похожие вопросы
Предмет: Математика,
автор: Lenchik21089
Предмет: Обществознание,
автор: wwwmak13
Предмет: Математика,
автор: нина48
Предмет: Химия,
автор: Аноним
Предмет: Математика,
автор: lota2304oxfr3a