Предмет: Алгебра,
автор: krymskaamaria1
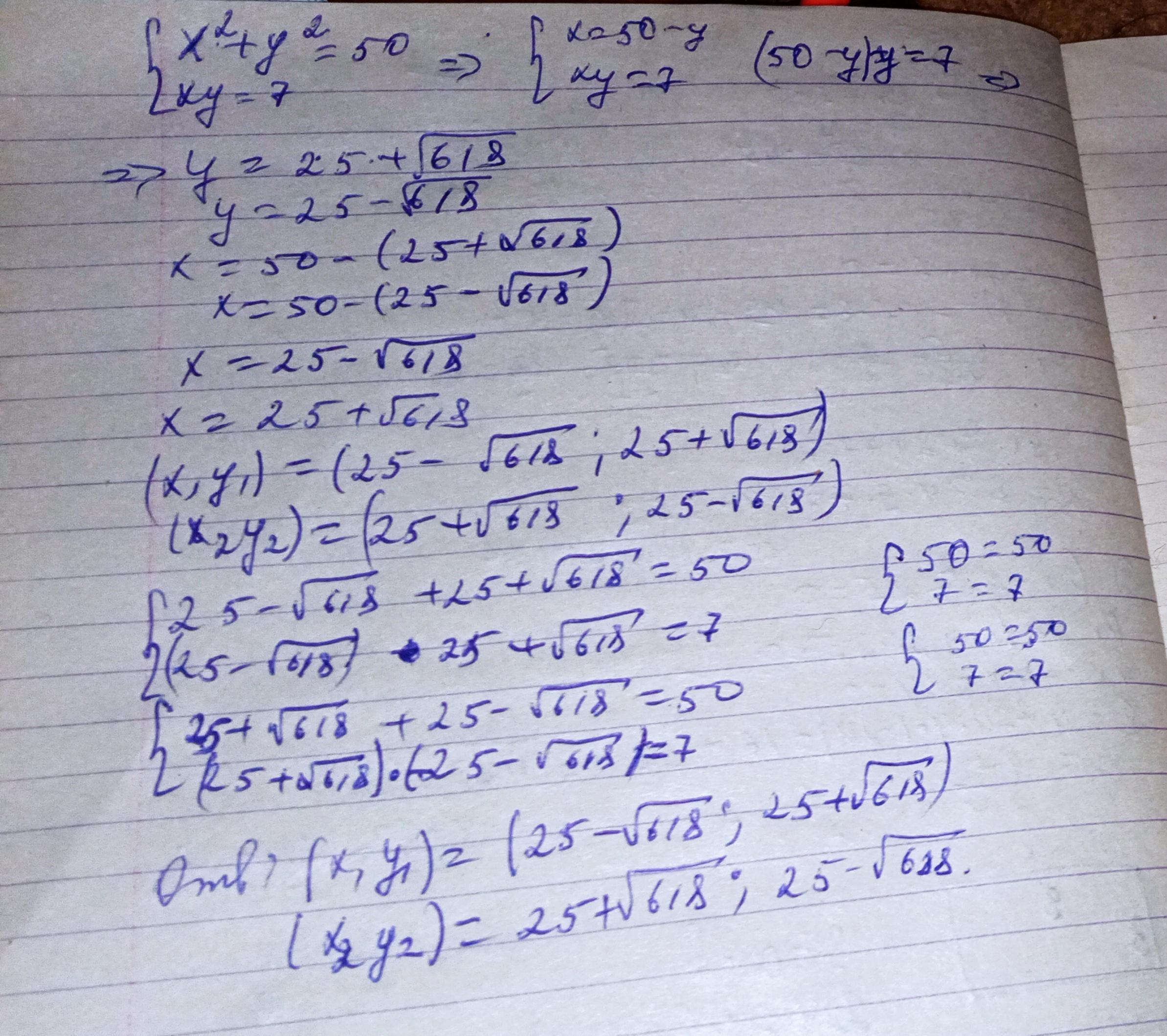
Помогите, пожалуйста..
Приложения:
zuriatagabekova:
Это система ?
Ла
Да*
Ответы
Автор ответа:
1
Ответ:
Ответ
Объяснение:
Приложения:
Похожие вопросы
Предмет: Математика,
автор: alinaalisaanna
Предмет: Математика,
автор: reberto3
Предмет: Математика,
автор: Kurmellera
Предмет: Математика,
автор: Пусик95