Предмет: Математика,
автор: nikolaenkooksana113
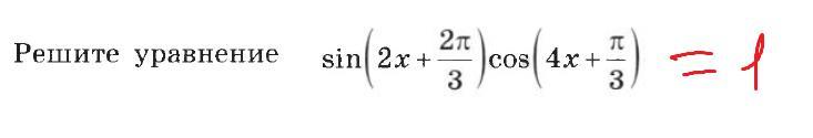
как дорешать уравнение?
Приложения:
Ответы
Автор ответа:
0
Иксы совпадают, значит это верное решение.
Похожие вопросы
Предмет: Математика,
автор: швлввььвьч
Предмет: Русский язык,
автор: Bannanchik
Предмет: Алгебра,
автор: Аноним
Предмет: Алгебра,
автор: sadicute17
Предмет: Математика,
автор: vlad1783