Предмет: Алгебра,
автор: kerimova123aliya
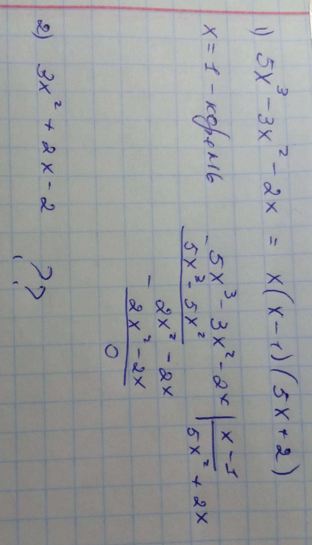
Разделите многочлен на множители:
1)5x^3 - 3x^2 - 2x
2)3x^2 + 2x - 2
Ответы
Автор ответа:
1
Объяснение:
Как-то так. Со вторым не знаю
Приложения:
Похожие вопросы
Предмет: География,
автор: Polinka1999polinkaa
Предмет: Химия,
автор: vlad123455432167765
Предмет: Математика,
автор: nastikiskis
Предмет: Биология,
автор: annapavelchuк
Предмет: Математика,
автор: Нилушка1996