Предмет: Математика, автор: tsvetkovtaa

Вычислите
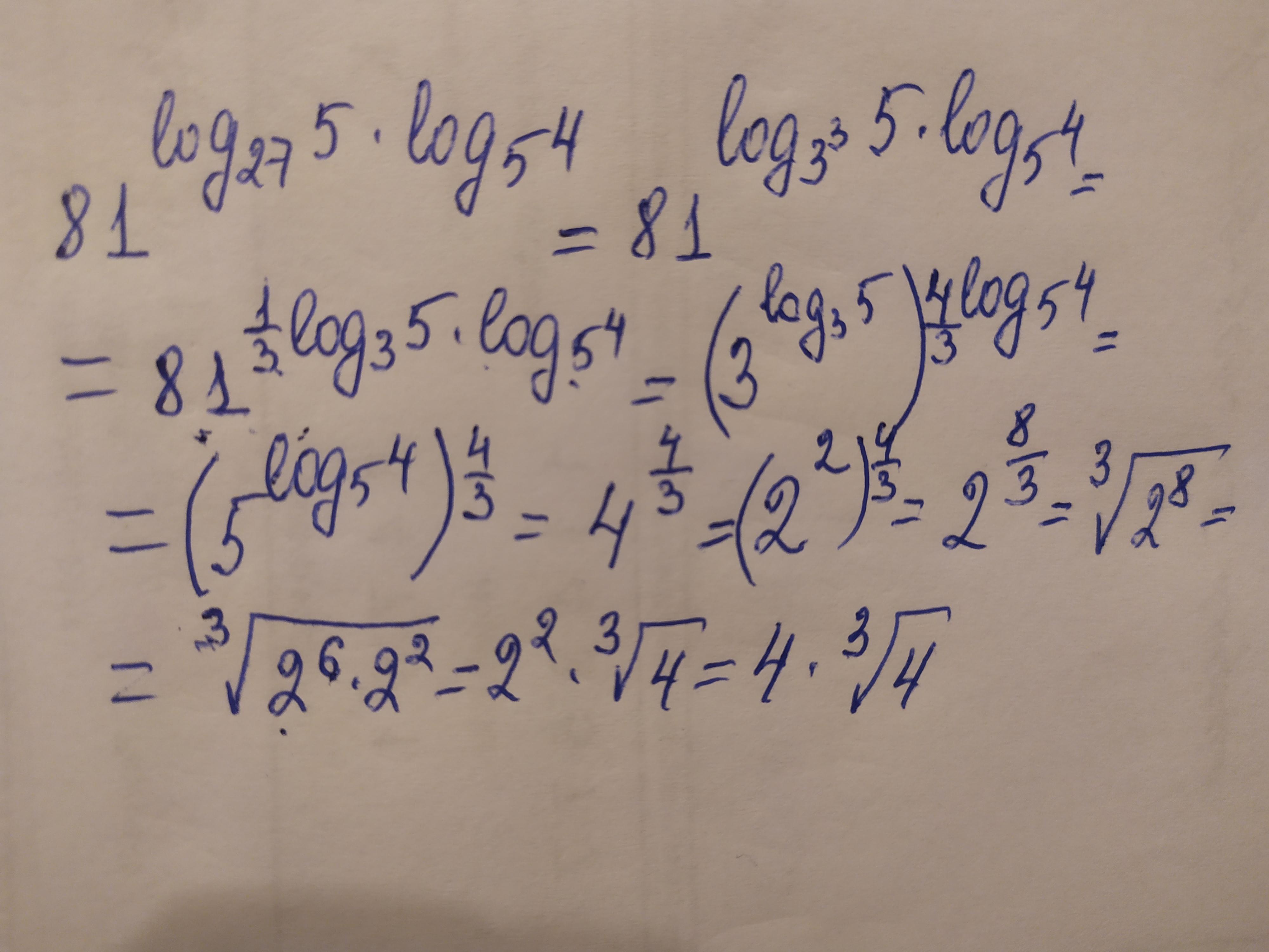
81^{log_{27}5*log_{5}4 }

Ответы

Автор ответа: Аноним
1

Ответ:

(3 {}^{4}  ) {}^{ log_{27}(4) }

3 {}^{4 log_{3 {}^{3} }(4) }

3 {}^{4 \times  \frac{1}{3} \times    log_{3}(4)   }

3 {}^{ \frac{3}{4} \times  log_{3}(4)  }

4 {}^{ \frac{4}{3 } }

 \sqrt[3]{4 {}^{4} }

4 \sqrt[3]{4}  = 6.34

Автор ответа: solyanine
0

Ответ:

Пошаговое объяснение:

Приложения:
Похожие вопросы