Предмет: Алгебра,
автор: Herf
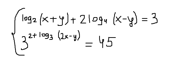
Решите систему уравнений:
Приложения:
Ответы
Автор ответа:
0
,,,,,,,,,,,,,,,,,,,,,,,,,,,,,,,,,,,,,,,,,,,,,,,,,,,,,,,,,,
Приложения:
Похожие вопросы
Предмет: Английский язык,
автор: Аноним
Предмет: Русский язык,
автор: sislanikovpasa
Предмет: Информатика,
автор: vladhudyakov29
Предмет: Математика,
автор: Kimskaya