Предмет: Алгебра,
автор: stasgavryshyshyn
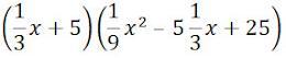
Розкладіть вираз на множники
хелп плз
Приложения:
Ответы
Автор ответа:
4
Ответ:
пж подпишись и лайк поставь
Похожие вопросы
Предмет: Русский язык,
автор: E18091983
Предмет: Английский язык,
автор: valentib
Предмет: Математика,
автор: katyakovalchuk1
Предмет: Математика,
автор: Lepra2006
Предмет: Информатика,
автор: regina2014191