Предмет: Математика,
автор: Enenkov
помогите доделать первые 2 примера!!!
Приложения:
Ответы
Автор ответа:
0
Ответ:
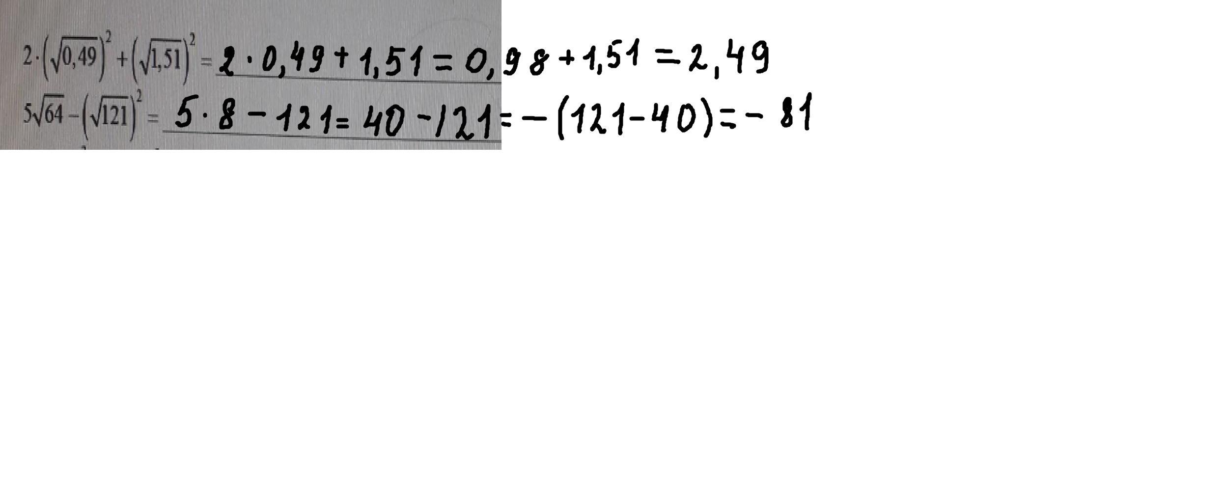
как и просили -первые 2 примера
Пошаговое объяснение:
Приложения:
Похожие вопросы
Предмет: Английский язык,
автор: Dasha9276
Предмет: Геометрия,
автор: Диана15614
Предмет: Русский язык,
автор: mamamaira
Предмет: Математика,
автор: Лёва2007
Предмет: Математика,
автор: ppershm