Предмет: Алгебра,
автор: sofiaklmnk
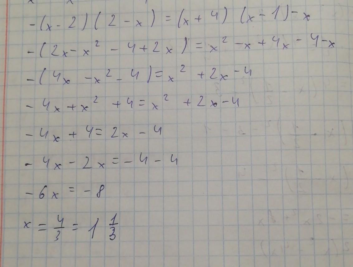
розв'яжіть рівняння: -(x-2)(2-x)=(x+4)(x-1)-x
Ответы
Автор ответа:
0
Ответ:
Все решения на фото, познач як краща відповідь, пж
Приложения:
Автор ответа:
0
Ответ:
Смотри решение на фото
Приложения:
Похожие вопросы
Предмет: Математика,
автор: kseniyabelkina
Предмет: Қазақ тiлi,
автор: Аноним
Предмет: Математика,
автор: Аноним
Предмет: История,
автор: brodyga7777