Предмет: Информатика,
автор: nickitamaier
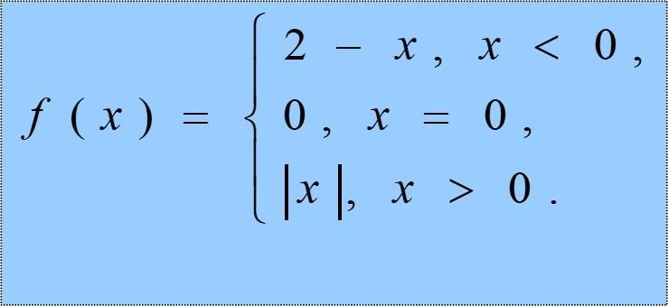
Дано действительное число х. Вычислить f(x), если
Приложения:
Ответы
Автор ответа:
2
Python:
x = float(input())
if x == 0:
y = 0
elif x > 0:
y = abs(x)
elif x < 0:
y = 2 - x
print("f({}) = {}".format(x,y))
Pascal:
var
x,y : real;
begin
readln(x);
if x = 0 then
y := 0
else
if x > 0 then
y := abs(x)
else
if x < 0 then
y := 2 - x;
write('F(x)=',y:5:5);
end.
Приложения:
nickitamaier:
Не правильгл
в каком месте?
Точнее надо на паскале
В задании это не указано
Забыл
Добавил паскаль
Похожие вопросы
Предмет: Русский язык,
автор: alyagavrilenko
Предмет: Русский язык,
автор: Аноним
Предмет: Українська література,
автор: bartkiv1987
Предмет: Биология,
автор: ник3298
Предмет: Математика,
автор: Dmitrij0505