Предмет: Алгебра,
автор: lenovo1405y
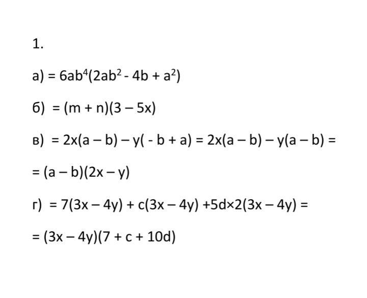
Винеси спільний множник за дужки
Приложения:
Ответы
Автор ответа:
1
Ответ:
Объяснение:
На фото
Приложения:
Похожие вопросы
Предмет: Биология,
автор: makarevichpro
Предмет: Русский язык,
автор: kydarka
Предмет: Биология,
автор: pfmail
Предмет: Математика,
автор: babulYA11
Предмет: Литература,
автор: Аноним