Предмет: Алгебра,
автор: Аноним
ПОМОГИТЕ РАСКРЫТЬ СКОБКИ ( ЗАБЫЛА КАК ДЕЛАТЬ)
Приложения:
Ответы
Автор ответа:
0
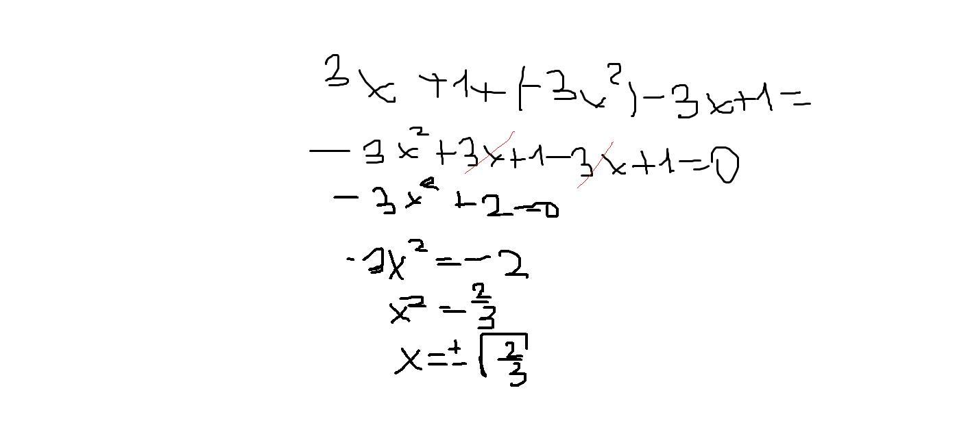
Ответ:
Надеюсь, что правильно
Объяснение:
Приложения:
Похожие вопросы
Предмет: Русский язык,
автор: 4561232
Предмет: Математика,
автор: sashasasha2801
Предмет: Физика,
автор: zver077
Предмет: Геометрия,
автор: fjswe106
Предмет: Математика,
автор: dianagnunyan