Предмет: Алгебра,
автор: Аноним
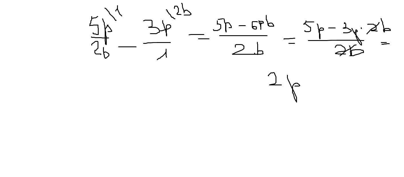
5p\2b-3p
срочно пожалуйста
Ответы
Автор ответа:
0
Ответ:
5р\2b-3p\1= 5p\2b- 2b*3p\2b*1= 5p\2b-6bp\2b= 5p-6bp\2b если что звёздочки, это знак умножения
Автор ответа:
0
Ответ:
Я думаю так, но мб другой ответ
Объяснение:
Приложения:
Похожие вопросы
Предмет: Математика,
автор: 210393
Предмет: Химия,
автор: solntseyulya
Предмет: Математика,
автор: Карапузик2004
Предмет: Геометрия,
автор: Аlisa555
Предмет: Алгебра,
автор: Yu0ngB0ss