Предмет: Математика, автор: prokachka567

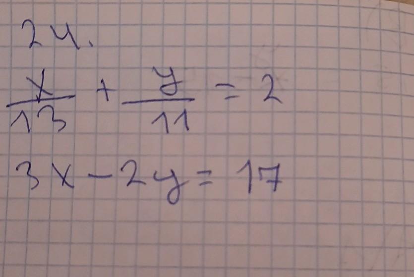
х+у=?
ответы:
1) 14
2) 24
3) 34
4) 44
с решением пожалуйста ​

Приложения:

Avantgardе: Система?
prokachka567: ??
Avantgardе: Система уравнений?
prokachka567: способ постановки

Ответы

Автор ответа: olga0olga76
2

Ответ:

2)24

Пошаговое объяснение:

х/13 + у/11 = 2, |×(13×11)

3х - 2у = 17;

11*13*х/13 + 11*13*у/11 = 2*13*11

3х - 2у = 17;

11х + 13у = 2*13*11, |×2

3х - 2у = 17;. |×13

2*11х + 2*13у = 2*2*13*11,

13*3х -13*2у = 13*17;

22х + 26у = 4*13*11,

+

39х - 26у = 13*17;

_________________

(22х + 39х) + (26у-26у) = 13*(4*11+17)

61х = 13*61

х= 61*13/61

х = 13

из условия 3х - 2у=17, то есть

3*13 - 2*у = 17

39 -2у = 17

39-17 = 2у

22 = 2у

у=22/2

у = 11

Следовательно, х+у=13+11=24


prokachka567: в начале не оч понял, ну спс
olga0olga76: в самом начале? если да, то домножим на знаменатели дробей для того, чтобы перейти к целым числам (избавились от дробей)
olga0olga76: 2*13*11 в правой части так и оставляла для того, чтобы не перемножать эти относительно, но большие числа
olga0olga76: как видим не зря) они сократились при делении, если бы не сокращались, то их в любой момент смогли бы перемножить
olga0olga76: можно было и сразу,но я заметила, что так будет проще, поэтому и оставила
olga0olga76: потом домножали для того, чтобы избавиться от у и оставить только х
olga0olga76: после нахождения х нашли у
olga0olga76: в каком месте у вас остались вопросы?
prokachka567: все, нету вопросов
Автор ответа: Avantgardе
2

\begin{cases}\dfrac{x}{13}+\dfrac{y}{11}=2\\3x-2y=17\end{cases}\Longleftrightarrow\quad\begin{cases}\dfrac{11x+13y}{143}=2\\3x-2y=17\end{cases}

\dfrac{11x+13y}{143}=2\quad|\cdot143\\\\11x+13y=286

\begin{cases}11x+13y=286\\3x-2y=17\end{cases}\Longleftrightarrow\quad\begin{cases}11x+13y=286\\3x=17+2y\end{cases}\Longleftrightarrow\quad\begin{cases}x=\dfrac{17}3+\dfrac23y\\\\11\bigg(\dfrac{17}3+\dfrac23y\bigg)+13y=286\end{cases}

\left\begin{array}{lcl}11\bigg(\dfrac{17}3+\dfrac23y\bigg)+13y=286\\\\\dfrac{187}3+\dfrac{22}3y+13y=286\quad|\cdot3\\\\187+22y+39y=858\\\\61y=671\\\\y=11\end{array}

3x=17+2y\\\\3x=17+2\cdot11\\\\3x=39\\\\x=13

13 + 11 = 24

Ответ: 2


prokachka567: как я понял, 3х=17+2×11, вы 11 добавили так как 11 тоже Х как и 3
Avantgardе: 11 добавил, как значение y, найденное выше
Похожие вопросы
Предмет: Химия, автор: konusbaevaflen
А 1. Схема распределения электронов по слоям в атоме химического элемента, образующего соединения, соответствующие общим формулам ЭН2 и ЭО 
1) 2е,8е,4е                                                     3) 2е,8е,2е2) 2е,8е,3е                                                     4) 2е,8е,1е 
А 2. Ряд элементов, расположенных в порядке увеличения атомных радиусов: 
1) Be, B, Al                                                   3) Li, Be, B2) Na, Mg, Be                                                4) Be, Mg, Ca
 А 3. Оксид кальция является 1) амфотерным                                           
3) несолеобразующим2) кислотным                                                          
 4) основным 
А 4. Необратимая химическая реакция произойдет при сливании растворов веществ, формулы которых: 1) NaCl и MgSO4                                                                      
3) NaOH и KI
2) HCl и Na2SO4                                                                        
4) KOH  и CuCl2
 
А 5. Уравнению реакции 2SO2 + O2 = 2SO3 соответствует схема превращения: 
1) S+4 → S+6                                                                                     3) S-2 → S+42) 2)S+4 → S0                                                                                        4) S→ N+6А 6. Верны ли следующие высказывания?
А. Неметаллы проявляют только восстановительные свойства
Б. Неметаллы проявляют восстановительные и окислительные свойства 
1) верно только А                                        3) верно только Б2) верны оба суждения                                4) оба суждения не верны 
Часть 2.В задании В1 на установление соответствия запишите последовательность цифр без пробелов и других символов. 
В1. Установите соответствие между формулой вещества и классом соединения: ФОРМУЛА ВЕЩЕСТВА:                                      КЛАСС СОЕДИНЕНИЯА) 1)С2Н5ОН                                                     АлканБ) 2)С3Н8                                                         В) Алкен 3)СНСОН                                                  3) АльдегидГ) 4)С3Н6                                                          4) Спирт5) Карбоновая кислота6) Простой эфир  
 В 2. С раствором гидроксида натрия реагируют: 1) CuSO4                                            4) HNO32) CuO                                               5) Zn(OH)23) KOH                                              6) CO2 
Часть 3 Запишите номер задания и полное решение C1. Какой объем кислорода потребуется для сжигания10л этена? 
Предмет: География, автор: оооооо1122