Предмет: Геометрия, автор: HelpGood

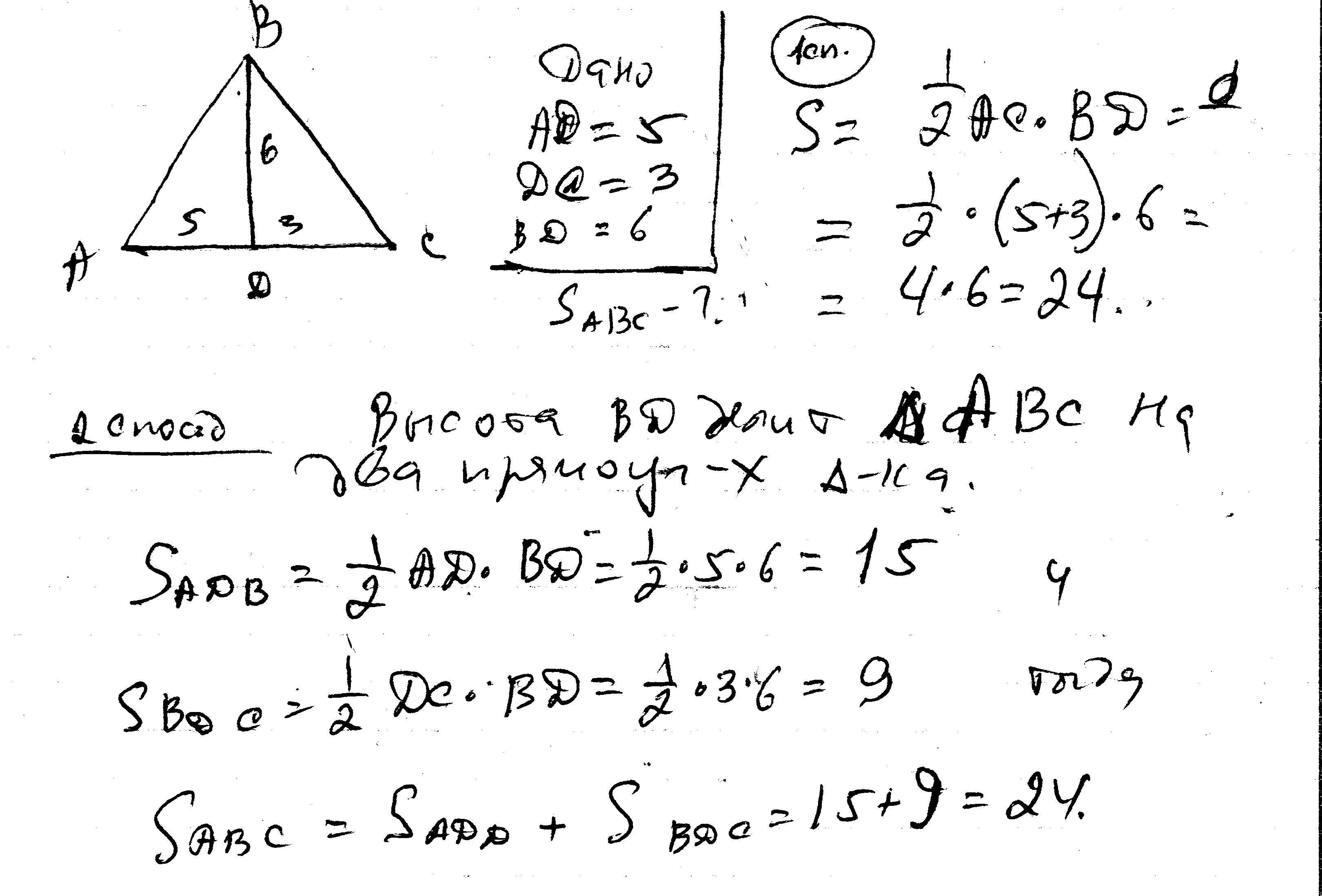
Используя данные указанные на рисунке найдите площадь треугольника. 
  

Задача на рисунке №1 а под ним рисунок

Приложения:

Ответы

Автор ответа: ужнеужели
0
Самое странное, что я видел - в некоторых странах 6*4=24, а не 28
Решение в скане............
Приложения:
Похожие вопросы
Предмет: Русский язык, автор: ladybog2015
Объяснение: Стояла - сказуемое, белая - определение, зима - подлежащее, с - предлог, жестокою - определение, тишиной - дополнение, безоблачных - определение, Морозов - дополнение, плотным - определение, скрипучим - определение, снегом - дополнение, розовым - определение, инеем - дополнение, на деревьях - дополнение, бледно-изумрудным - определение, небом - дополнение, шапкой - дополнение, дыма - дополнение, над трубами - дополнение, клубами - дополнение, пара - дополнение, из - предлог, мгновенно - как? Мгновенно (извините, забыл название этой части речи, но она идёт после дополнения), раскрытых - определение, дверей - дополнение, свежими - определение, лицами - дополнение, людей - дополнение, и - предлог, хлопотливым - определение, бегом - дополнение, продрогших - определение, лошадок - дополнение.

СХЕМУ ПРЕДЛОЖЕНИЯ НАПИШИТЕ ПЖЖЖЖ КАКОЕ ОНО ПРОСТОЕ ИЛИ СЛОЖНОЕ И ТАК ДАЛЕЕ ДАЮ 90 БАЛЛОВ
СРОЧНО