Предмет: Алгебра,
автор: kirillmarysev75
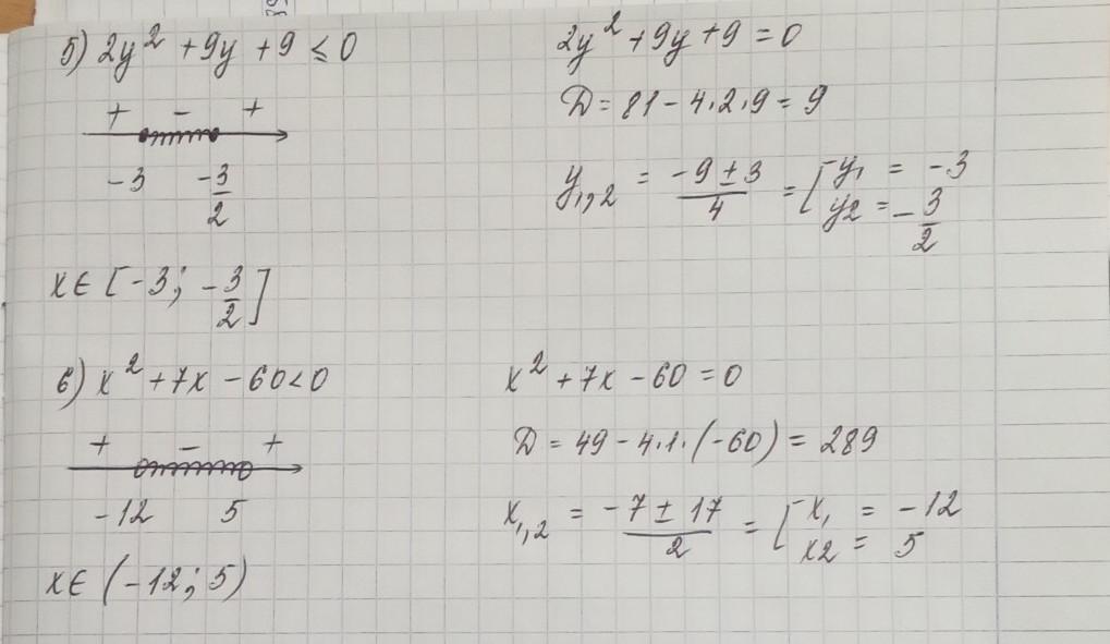
Ребята помогите срочно надо решите номер 5,35 срочно надо
Приложения:
Ответы
Автор ответа:
1
Ответ:
Вот ответы. Надеюсь, что всё правильно.
Приложения:
kirillmarysev75:
спасибо и удачи тебе
Не за что)
А это задания по алгебре за какой класс?
алгебра 8 класс
Понятно. Спасибо!
ладно пока)
Пока!
Похожие вопросы
Предмет: Математика,
автор: Льодовиковий
Предмет: Обществознание,
автор: ЮляАделя
Предмет: Математика,
автор: ElizavetaClaress
Предмет: Алгебра,
автор: RenaMitashi