Предмет: Математика,
автор: candyflosss71
Почему выражения равны?
Помогите, пожалуйста
Приложения:
natalyabryukhova:
Ну и??Вы же все написали. Вторая скобка равна 1! Основное тригонометрическое тождество
Ответы
Автор ответа:
1
Ответ:
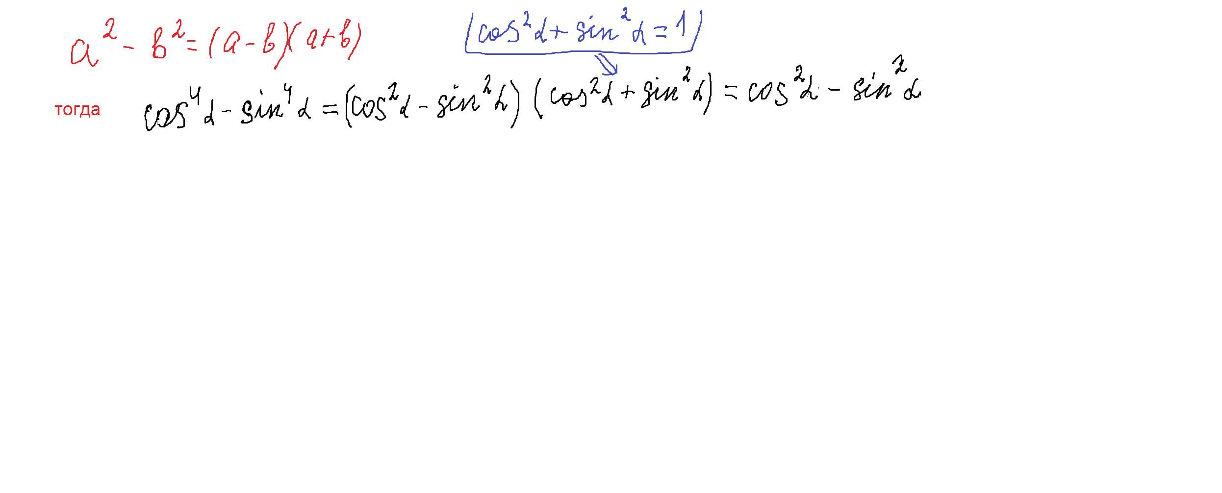
Пошаговое объяснение:
расписала внизу,там же написала какие формулы используем
Приложения:
Точно! Спасибо!
пожалуйста.
Похожие вопросы
Предмет: Химия,
автор: tungus23
Предмет: Русский язык,
автор: bekhruz151
Предмет: Математика,
автор: ras200235
Предмет: Математика,
автор: ildarlg1