Предмет: Алгебра,
автор: mazurets07
помогите срочно 60 баллов
Приложения:
maryap2007:
Ох, мой любимый Якласс....Сорри помочь не могу, сама постоянно одноклассников прошу.
Ответы
Автор ответа:
1
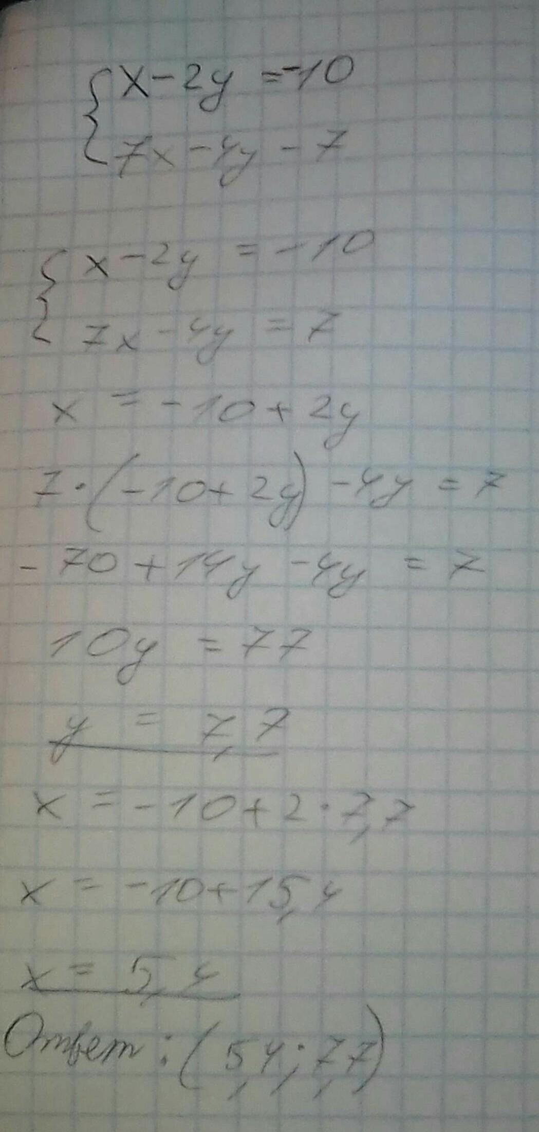
Ответ:(5,4;7,7)
Надеюсь помогла) удачи)
Приложения:
Похожие вопросы
Предмет: Математика,
автор: maxutova
Предмет: Геометрия,
автор: karmanovanika
Предмет: Английский язык,
автор: lopta2020
Предмет: Физика,
автор: goricyn76