Предмет: Математика,
автор: artemsiderko986
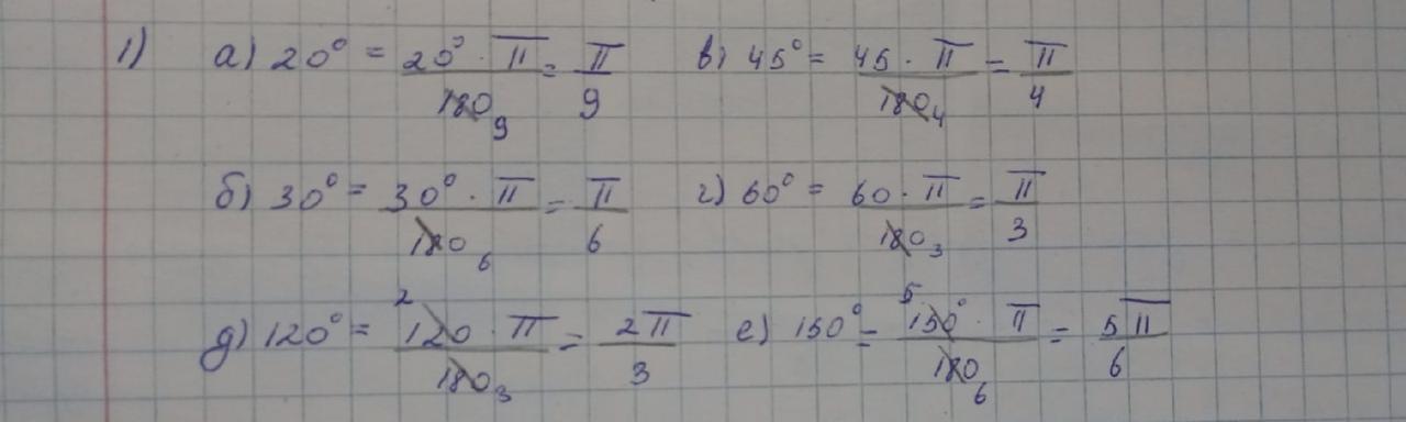
19.1. Запишите с помощью п радианную меру угла, если его градус-
ная мера равна:
1) 30°; 2) 45; 3) 60°; 4) 90°; 5) 150°; 6) 180°.
Ответы
Автор ответа:
6
Ответ:
думаю что тут всё понятно
Пошаговое объяснение:
Приложения:
Похожие вопросы
Предмет: Химия,
автор: KRISTINAKLASS
Предмет: Математика,
автор: hjkk909
Предмет: Химия,
автор: shuana987
Предмет: Химия,
автор: 9826319236
Предмет: Математика,
автор: kkondraschina2