Предмет: Алгебра, автор: ria2015

Дана арифметическая прогрессия (an). Известно, что a1 = 6,5 и d = 2,2. Вычисли сумму первых шести членов арифметической прогрессии.

Ответы

Автор ответа: manyny06
1

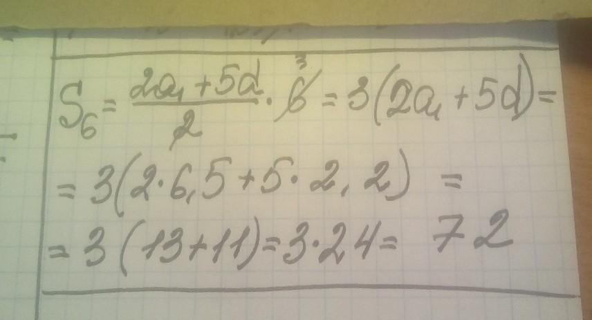
Ответ:

решение на фотографии

Приложения:
Автор ответа: Universalka
0

a_{1}=6,5\\\\d=2,2\\\\S_{6} =\frac{2a_{1}+5d }{2}*6=(2a_{1}+5d)*3=(2*6,5+5*2,2)*3=(13+11)*3=\boxed {72}

Похожие вопросы
Предмет: Математика, автор: milana07022014
Предмет: Математика, автор: wolfgame732