Предмет: Алгебра,
автор: skyer10
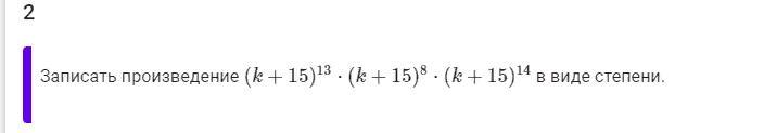
Помогите, пожалуйста
Приложения:
Ответы
Автор ответа:
0
Ответ:
(k+15)³⁵
Объяснение:
(k+15)¹³*(k+15)⁸*(k+15)¹⁴=(k+15)¹³⁺⁸⁺¹⁴=(k+15)³⁵
Похожие вопросы
Предмет: Математика,
автор: vika212006
Предмет: Математика,
автор: komkuznetsova
Предмет: Математика,
автор: aleksandrshtuk
Предмет: Литература,
автор: Natasha3031
Предмет: Химия,
автор: Schoollolo