Предмет: Алгебра,
автор: fatimazolamanova
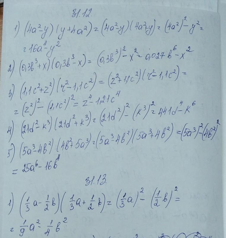
Помогите пжжжж 3.12. 3.13. 3.14
Приложения:
Ответы
Автор ответа:
0
оооооооооооооооооооооооо
Приложения:
Похожие вопросы
Предмет: Математика,
автор: diankaadzinova
Предмет: Қазақ тiлi,
автор: shkvcduj
Предмет: Математика,
автор: probnayposhta
Предмет: Математика,
автор: настя7806
Предмет: Литература,
автор: yzbeck