Предмет: Алгебра,
автор: Аноним
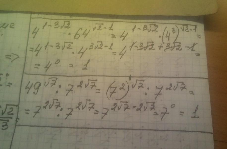
Вычислите: !!!!!!!!!!!!!!!!!!!!!!!
Приложения:
Ответы
Автор ответа:
1
Ответ:
решение на фотографии
Приложения:
Похожие вопросы
Предмет: География,
автор: shapka76
Предмет: Русский язык,
автор: milanavedenina
Предмет: Русский язык,
автор: thekalov
Предмет: Физика,
автор: полина13141516171819
Предмет: Математика,
автор: 1Аля111