Предмет: Математика,
автор: Scromdio
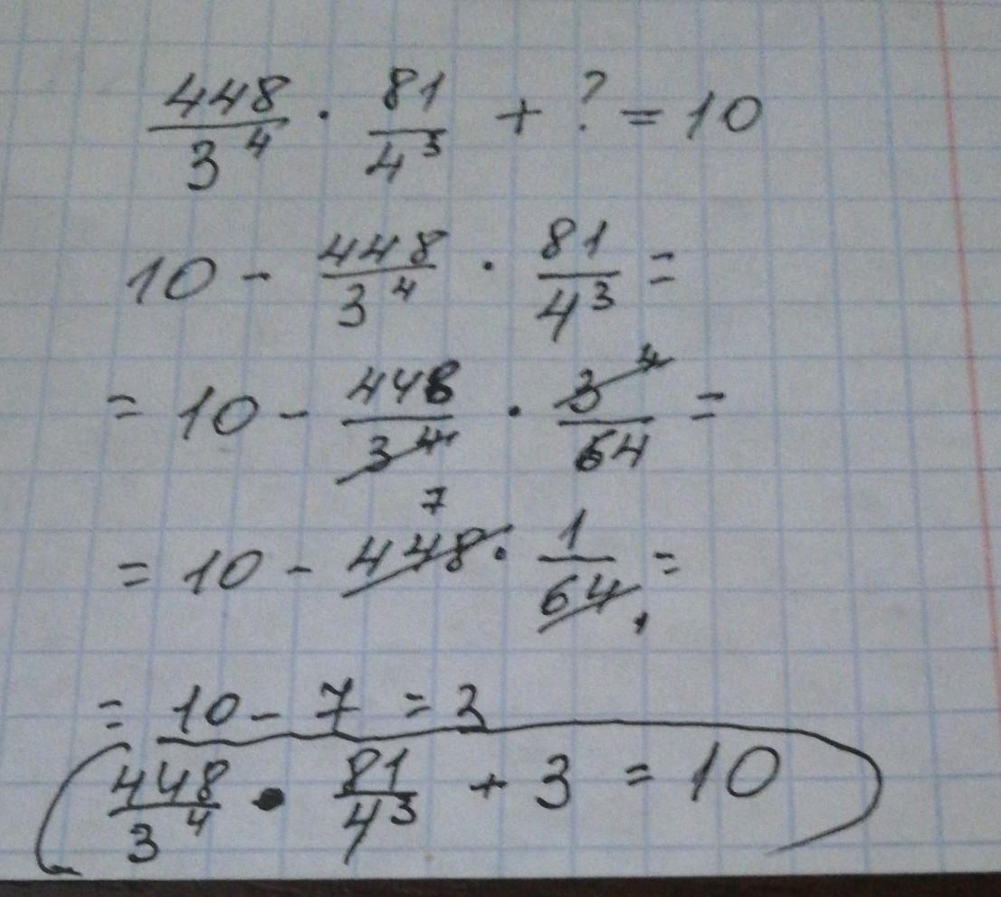
804 вместо звездочек вставьте число чтобы было верным равенство
Приложения:
Ответы
Автор ответа:
1
Ответ:
Смотри решение на фото
Приложения:
Scromdio:
а можно 6 еще?
в 6 примере там после равно стоит 10?
смотрите решение 6 примера, я добавила его
Нашли решение 6 примера?
все спасибо большое очень помог
а можно 7?
Похожие вопросы
Предмет: Русский язык,
автор: эльза20000
Предмет: Математика,
автор: Dasha1061717
Предмет: История,
автор: Mari12161
Предмет: Математика,
автор: LUNA2607
Предмет: Информатика,
автор: LeMs11