Предмет: Математика,
автор: aminagul
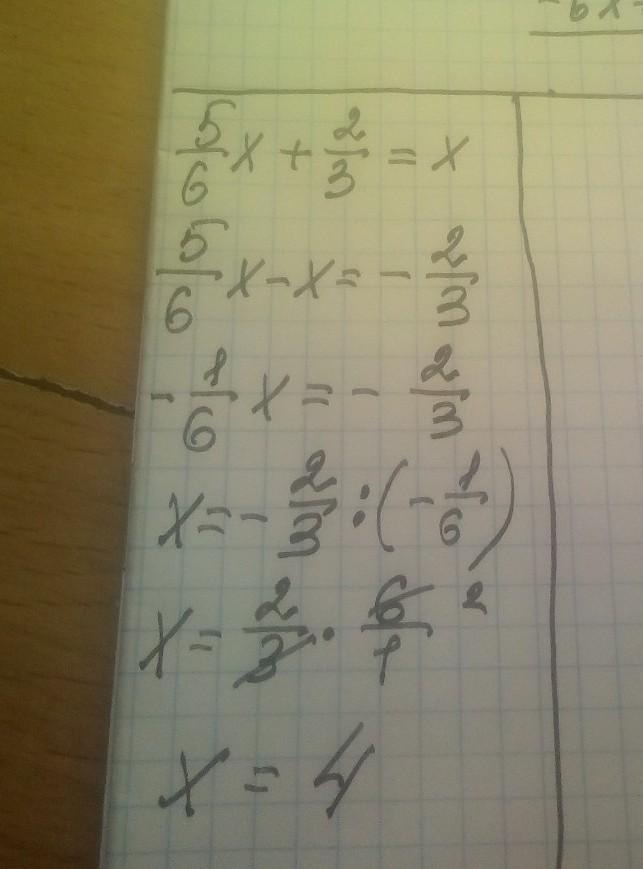
5/6х+2/3=х Реши уравнение и определи его корень
4
-2
-4
2
Ответы
Автор ответа:
14
Ответ:
решение на фотографии
Приложения:
gusmanovazhanel:
Это правильно, спасибо
ссссссссссссссссссппппппппппппаааааааааааассссссссссссииииииииииииббббббббббббоооооооооооо
Автор ответа:
5
Ответ:
Пошаговое объяснение:
5/6х+2/3=х I * 6
5x+4=6x
5x+4-6x=0
-x+4=0
-x= -4
x=4
Похожие вопросы
Предмет: Биология,
автор: alenamax
Предмет: Алгебра,
автор: natakokoreva55
Предмет: История,
автор: zz7zz25
Предмет: Математика,
автор: kurmanovalim07
Предмет: Математика,
автор: chicagoseedseed