Предмет: Алгебра,
автор: jjjjkkll
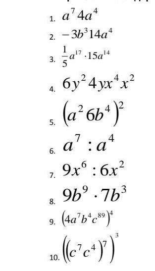
Привести к стандартному виду одночлен, пожалуйста помогите
Приложения:
Ответы
Автор ответа:
1
Ответ:
ответ на ваше задание на фото
Приложения:
Похожие вопросы
Предмет: Математика,
автор: варишенька
Предмет: Химия,
автор: kamalianochkar
Предмет: Химия,
автор: marinkatry
Предмет: География,
автор: katysha272
Предмет: Алгебра,
автор: Няшка00000000000