Предмет: Алгебра, автор: Аноним

Помогите пожалуйста СРОЧНО АЛГЕБРА ​

Приложения:

Ответы

Автор ответа: Аноним
2

Ответ:

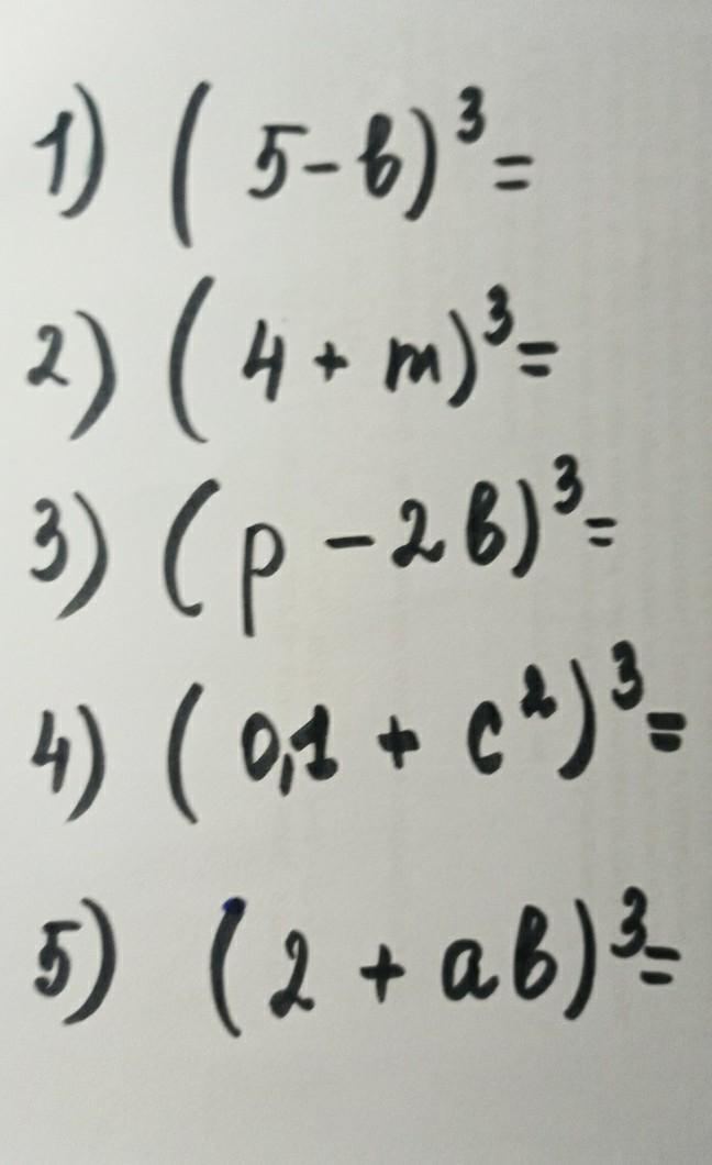
(5 - b) {}^{}  = 125 - 75b + 15b {}^{2}  - b {}^{3}

(4 + m) {}^{3}  = 64 + 48m + 12m {}^{2}  + m {}^{3}

(p - 2b) {}^{3}  =  - 8b {}^{3}  + 12b {}^{2} p - 6bp {}^{2}  + p {}^{3}

(0.1 + c {}^{2} ) {}^{3}  = 0.001 + 0.03c {}^{2}  + 0.3 c{}^{4}  + c {}^{6}

(2 + ab) {}^{3}  = a {}^{3} b {}^{3}  + 6a {}^{2} b {}^{2}  + 12ab + 8

Похожие вопросы
Предмет: Алгебра, автор: merfasade
Предмет: Математика, автор: dimanstavishen