Предмет: Информатика,
автор: tasyakolesnik06
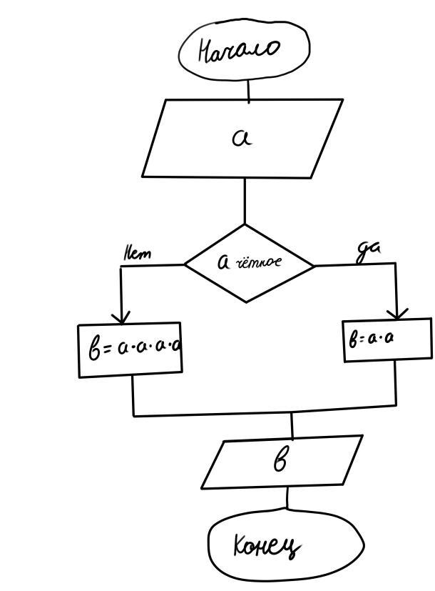
Нарисуйте блок-схему алгоритма возведения нечетного числа в квадрат, а четного в 4 степень.
Ответы
Автор ответа:
1
Блок-схема это распростарнённый тип схем, описывающих алгоритмы или процессы, в которыз отдельные шаги изображаются в виде блоков различной формы, соединённых между собой линиями, указывающими направление последовательности.
Овальные блоки показывает началу и конец алгоритма.
Прямоугольные блоки показывают расчёты.
Параллелограммы показывают ввод и вывод.
Ромбы показывают условие.
Приложения:
Похожие вопросы
Предмет: Математика,
автор: poeglesveta
Предмет: Математика,
автор: marat0707
Предмет: Литература,
автор: sergicredko
Предмет: Математика,
автор: Money666