Предмет: Алгебра,
автор: elizavetakasina73
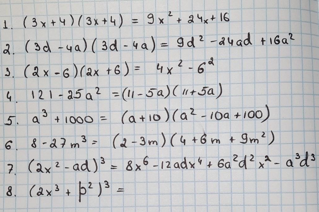
Преобразуйте выражение используя формулы сокращенного умножения
Приложения:
Ответы
Автор ответа:
1
1. 3x^2+24x+16
2.3d^2-24ad+16a
2.16x-12x-36
2.3d^2-24ad+16a
2.16x-12x-36
Автор ответа:
1
Ответ:
8 как то туда не вписываеться, но остальное вот, на фото
Приложения:
Похожие вопросы
Предмет: Русский язык,
автор: lyapin65
Предмет: Геометрия,
автор: Helpme00000
Предмет: Математика,
автор: glebshataev
Предмет: Математика,
автор: Аноним
Предмет: Математика,
автор: ДиДАЙ1